১) চলিত রীতিতে সর্বনাম ও ক্রিয়া কেমন হয়?
দীর্ঘ
অতিদীর্ঘ
সংক্ষিপ্ত
অপরিবর্তিত
সংক্ষিপ্ত
ব্যাখ্যা:
• চলিত রীতিতে সর্বনাম ও ক্রিয়া - সংক্ষিপ্ত হয়।
-------------------
• চলিত রীতি বা প্রমিত রীতি:
- বিশ শতকের সূচনায় কলকাতার শিক্ষিত লোকের কথ্য ভাষাকে লেখ্য রীতির আদর্শ হিসেবে চালু করার চেষ্টা হয়।
- এটি তখন চলিত রীতি নামে পরিচিতি পায়।
- এই রীতিতে ক্রিয়া, সর্বনাম, অনুসর্গ প্রভৃতি শ্রেণির শব্দ হ্রস্ব হয় এবং তৎসম শব্দের ব্যবহার অপেক্ষাকৃত কমে। প্রথম দিকে চলিত রীতিতে শুধু সাহিত্য রচিত হতো; দাপ্তরিক কাজ ও বিদ্যাচর্চা ইত্যাদি হতো সাধু ভাষায়।
- বিশ শতকের মাঝামাঝি নাগাদ চলিত রীতি সাধু রীতির জায়গা দখল করে। ক্রমে জীবনের বিভিন্ন ক্ষেত্রে সাধু রীতিকে সরিয়ে চলিত রীতি আদর্শ লেখ্য রীতিতে পরিণত হয়।
- একুশ শতকের সূচনা নাগাদ এই চলিত রীতিরই নতুন নাম হয় ‘প্রমিত রীতি'।
- এটি ‘মান রীতি নামেও পরিচিত। বর্তমানে বাংলাদেশ, পশ্চিমবঙ্গ ও ত্রিপুরায় যাবতীয় দাপ্তরিক কাজ, বিদ্যাচর্চা, সাংবাদিকতা ও যোগাযোগের ভাষা হিসেবে প্রমিত রীতি লেখ্য বাংলা ভাষার প্রধান রীতিতে পরিণত হয়েছে।
অন্যদিকে,
বাংলা ভাষার সাধু রীতির বৈশিষ্ট্য:
(ক) বাংলা লেখ্য সাধু রীতি সুনির্ধারিত ব্যাকরণের নিয়ম অনুসরণ করে চলে এবং এর পদবিন্যাস সুনিয়ন্ত্রিত ও সুনির্দিষ্ট।
(খ) এ রীতি গুরুগম্ভীর ও তৎসম শব্দবহুল।
(গ) সাধু রীতি নাটকের সংলাপ ও বক্তৃতার অনুপযোগী।
(ঘ) এ রীতিতে সর্বনাম ও ক্রিয় পদ এক বিশেষ গঠনপদ্ধতি মেনে চলে। এবং অপেক্ষাকৃত দীর্ঘ হয়।
উৎস: মাধ্যমিক বাংলা ভাষার ব্যাকরণ ও নির্মিতি (২০২২ সংস্করণ)।
২) কোনো অংশ বাদ দিতে চাইলে কোন চিহ্ন বসবে?
কমা
কোলন
সেমিকোলন
ত্রিবিন্দু
ত্রিবিন্দু
ব্যাখ্যা:
• বাক্যে কোন অংশ বাদ দিতে চাইলে ত্রিবিন্দু ব্যবহৃত হয়।
-------------------
• ত্রিবিন্দু (...):
- কোনাে অংশ বাদ দিতে চাইলে ত্রিবিন্দুর ব্যবহার হয়।
- যেমন -
- তিনি রেগে গিয়ে বললেন, “তার মানে তুমি একটা ...।”
- আমাদের ঐক্য বাইরের। ... এ ঐক্য জড় অকর্মক, সজীব সকর্মক নয়।
উৎস: মাধ্যমিক বাংলা ভাষার ব্যাকরণ ও নির্মিতি (২০২২ সংস্করণ)।
৩) কোন বানানটি শুদ্ধ?
আশীষ
শিরচ্ছেদ
দ্বন্দ্ব
মুমুর্ষূ
দ্বন্দ্ব
ব্যাখ্যা:
• বাংলা একাডেমি আধুনিক বাংলা অভিধান অনুসারে,
'দ্বন্দ্ব' - বানানটি শুদ্ধ।
---------------------
• 'দ্বন্দ্ব' শব্দের অর্থ:
- বিরোধ (দ্বন্দ্ব-কলহে উভয় পক্ষের ক্ষতি)।
- কলহ; ঝগড়া; বিবাদ।
----------------
'আশীষ' এর শুদ্ধ বানান- 'আশিস' (অর্থ: আশীর্বাদ,দোয়া)।
'শিরচ্ছেদ' এর শুদ্ধ বানান- শিরশ্ছেদ (অর্থ: মাথা কাটা যাওয়া)।
'মুমুর্ষূ' এর শুদ্ধ বানান- মুমূর্ষু (অর্থ: মরণাপন্ন; মরণোন্মুখ; মৃত্যুকাল আসন্ন এমন)।
উৎস: বাংলা একাডেমি আধুনিক বাংলা অভিধান, অভিগম্য অভিধান।
৪) 'Memorandum'-এর পরিভাষা কী?
পরীক্ষাগার
গণসংযোগ
স্মারকলিপি
অবতরণ
স্মারকলিপি
ব্যাখ্যা:
• 'Memorandum' এর বাংলা পরিভাষা- 'স্মারকলিপি'।
--------------
'Laboratory' এর বাংলা পরিভাষা- পরীক্ষাগার, গবেষণাগার।
Mass communication এর বাংলা পরিভাষা- গণসংযোগ।
Descent এর বাংলা পরিভাষা- অবতরণ।
-----------------
• কয়েকটি গুরুত্বপূর্ণ পারিভাষিক শব্দ:
- Agenda শব্দের বাংলা পারিভাষা- আলোচ্যসূচি।
- Constitution শব্দের বাংলা পারিভাষা - সংবিধান।
- Constituency শব্দের বাংলা পারিভাষা - নির্বাচনী এলাকা/ নির্বাচকমণ্ডলী।
- Manifesto শব্দের বাংলা পারিভাষা - ইশতেহার।
- Manuscript শব্দের বাংলা পারিভাষা - পাণ্ডুলিপি।
- ‘Edition’ শব্দের বাংলা পারিভাষা - সংস্করণ।
- 'Manual’ শব্দের বাংলা পারিভাষা - সারগ্রন্থ।
- Gazette শব্দের বাংলা পারিভাষা - ঘোষণাপত্র।
- Invoice শব্দের বাংলা পারিভাষা - চালান, প্রেরিতক-সূচি।
- Constipation- শব্দের বাংলা পরিভাষা - কোষ্ঠকাঠিন্য।
উৎস: বাংলা একাডেমি প্রশাসনিক, পরিভাষা, অভিগম্য অভিধান- বাংলা একাডেমি।
৫) সাধু ও চলিত রীতির শব্দ একই বাক্যে ব্যবহার করলে তাকে কি বলে
গুরুদোষ
লঘুদোষ
মিশ্রদোষ
গুরুচণ্ডালী
গুরুচণ্ডালী
ব্যাখ্যা:
• বাক্যে সাধু ও চলিত ভাষার মিশ্রণ ঘটলে গুরুচণ্ডালী দোষ ঘটে।
----------------------
• গুরুচণ্ডালী দোষ:
- তৎসম শব্দের সঙ্গে দেশীয় শব্দের প্রয়ােগ ঘটলে যে দোষের সৃষ্টি হয়, তাকে বলা হয় গুরুচণ্ডালী দোষ।
- তৎসম শব্দের সঙ্গে দেশীয় শব্দের প্রয়ােগ কখনও কখনও গুরুচণ্ডালী দোষ সৃষ্টি করে।
- এ দোষে দুষ্ট শব্দ তার যােগ্যতা হারায়।
- বাক্যে সাধু ও চলিত ভাষার মিশ্রণ ঘটলে গুরুচণ্ডালী দোষ ঘটে।
যেমন-
গরুর গাড়ি, শবদাহ, মড়াপােড়া প্রভৃতি হলাে তৎসম শব্দ। গঠন ও অর্থের দিক থেকে এসব শব্দের কোনাে সমস্যা নেই। কিন্তু যদি বলা হয় যথাক্রমে গরুর শকট, শবপােড়া, মড়াদাহ; তাহলে দেশীয় শব্দের সঙ্গে তৎসম শব্দের মিলন ঘটে এবং তাতে শব্দ গুরুচণ্ডালী দোষে দুষ্ট হয়।
উৎস: মাধ্যমিক বাংলা ২য় পত্র, বাংলাদেশ উন্মুক্ত বিশ্ববিদ্যালয়, বাংলা ভাষার ব্যাকরণ ও নির্মিতি- নবম ও দশম শ্রেণি (২০১৯ সংস্করণ), ভাষা ও শিক্ষা - ড হায়াৎ মামুদ।
৬) 'আমড়াগাছি করা' কি বুঝাতে ব্যবহার করা হয়?
অযথা তর্ক করা
অযথা রাগারাগি করা
অযথা তোষামোদ
অযথা আলসেমি করা
অযথা তোষামোদ
ব্যাখ্যা:
• ‘আমড়াগাছি করা’ বাগ্ধারার অর্থ - অযথা তোষামোদ/ অযথা প্রশংসা করা।
বাক্য: এমপি সাহেবকে আমড়াগাছি করে পাঁচ হাজার টাকা আদায় হয়েছে।
--------------------
আরো কয়েকটি গুরুত্বপূর্ণ বাগধারা:
• ‘আঠারো আনা’ বাগ্ধারার অর্থ - বাড়াবাড়ি।
• ‘আগড়ম বাগড়ম’ বাগ্ধারার অর্থ - অর্থহীন কথা।
• ‘আদা জল খেয়ে লাগা’ বাগ্ধারার অর্থ - প্রাণপণ চেষ্টা করা।
• ‘অন্তর টিপুনি’ বাগধারার অর্থ - গোপন ইশারা।
• ‘আমি-আমি করা’ বাগধারার অর্থ - আত্মপ্রশংসা করা।
উৎস: বাংলা ভাষা ও সাহিত্য জিজ্ঞাসা, ড. সৌমিত্র শেখর।
৭) হাইফেন কোথায় বসে?
দুই বাক্যের সংযোগ দেখাতে।
দুই শব্দের সংযোগ দেখাতে।
বাক্যে উদ্ধৃতি প্রয়োগ করতে।
উক্তি বা প্রত্যুক্তি বোঝাতে।
দুই শব্দের সংযোগ দেখাতে।
ব্যাখ্যা:
• দুই শব্দের সংযোগ দেখাতে- হাইফেন বসে।
---------------
• যতিচিহ্ন:
- মুখের কথাকে লিখিত রূপ দেওয়ার সময়ে কম-বেশি থামা বোঝাতে যেসব চিহ্ন ব্যবহৃত হয়, সেগুলোকে যতিচিহ্ন বলে।
- বক্তব্যকে স্পষ্ট করতেও কিছু চিহ্ন ব্যবহৃত হয়ে থাকে।
- যতিচিহ্নকে বিরামচিহ্ন বা বিরতিচিহ্নও বলা হয়।
• হাইফেন বা সংযোগ চিহ্ন (-):
- সমাসবদ্ধ পদের অংশগুলো বিচ্ছিন্ন করে দেখানোর জন্য হাইফেনের ব্যবহার হয়।
- একাদিক শব্দ বা পদ সংযোগ দেবার জন্য হাইফেন ব্যবহার করা হয়।
যেমন -
→ এ আমাদের শ্রদ্ধা-অভিনন্দন, আমাদের প্রীতি-উপহার।
অন্যদিকে,
• কমা ব্যবহৃত হয় - শব্দ, বর্গ ও অধীন বাক্যকে আলাদা করতে।
• ড্যাস ব্যবহৃত হয় - যৌগিক ও মিশ্র বাক্যে পৃথক ভাবাপন্ন দুই বা তার বেশি বাক্যের সমন্বয় বা সংযোগ বোঝাতে।
• বিন্দু ব্যবহৃত হয় - ক্রম নির্দেশের কাজে।
• একাধিক স্বাধীন বাক্যকে একবাক্যে লিখতে মাঝখানে সেমিকোলন হয়।
• উদাহরণ বা দৃষ্টান্ত প্রয়োগ করতে হলে কোলন এবং ড্যাশ চিহ্ন একসঙ্গে ব্যবহৃত হয়।
• প্রত্যক্ষ উক্তিতে বক্তার কথা উদ্ধরণ চিহ্ন (‘ ’/“ ”)-এর মধ্যে থাকে
উৎস: বাংলা ভাষা ও সাহিত্য জিজ্ঞাসা, ড. সৌমিত্র শেখর, বাংলা ভাষার ব্যাকরণ ও নির্মিতি, নবম-দশম শ্রেণি (২০১৯, ২০২২ সংস্করণ)।
৮) 'Look before you leap'-এর সঠিক অনুবাদ কোনটি?
লাফ দেওয়ার আগে তাকাও।
ভাবিয়া করিও কাজ।
দেখে তারপর লাফ দাও।
আকাশকুসুম ভাবিও না।
ভাবিয়া করিও কাজ।
ব্যাখ্যা:
• 'Look before you leap'-এর সঠিক অনুবাদ: ভাবিয়া করিও কাজ।
------------------
এরকম আরও কিছু প্রবাদ:
- Leave no stone unturned: কোনো কাজ করার জন্য সকল প্রকার প্রচেষ্টা নেওয়া।
- Let it alone! Let well alone: যে অবস্থায় আছে তাই ভালো / হস্তক্ষেপ করলে খারাপ হতে পারে।
- Let sleeping dogs lie: কাদা ঘেঁটো না / স্বেচ্ছায় নিজেকে বিপদে বা ঝামেলায় না-জড়ানো।
- Live and let live: সহিষ্ণু হও।
- Build castles in the air : আকাশকুসুম রচনা করা বা অলীক কল্পনা করা।
- Many a little makes a mickle. – দশের লাঠি একের বোঝা।
- Might is right. – জোর যার মুল্লুক তার।
উৎস: বাংলা ভাষা ও সাহিত্য জিজ্ঞাসা, ড. সৌমিত্র শেখর।
৯) 'সর্বনাশ' অর্থে কোন বাগধারাটি যথোপযুক্ত?
ভরাডুবি
রাবনের চিতা
জগদ্দল পাথর
শাপেবর
ভরাডুবি
ব্যাখ্যা:
• ‘ভরাডুবি’ বাগধারাটির অর্থ - সর্বনাশ।
বাক্য গঠন: কারো ভরাডুবি করতে গেলে নিজেকেই ভরাডুবিতে পড়তে হয়।
----------------------
অন্য অপশনে,
• ‘রাবণের চিতা’ বাগধারাটি অর্থ - চির অশান্তি।
বাক্য গঠন: একমাত্র পুত্রের মৃত্যুতে বুড়ির বুকে রাবণের চিতা জ্বলছে।
• 'জগদ্দল পাথর' বাগধারাটির অর্থ- 'গুরুভার'
বাক্য গঠন: সে আমার উপর দায়িত্বের জগদ্দল পাথর চাপিয়ে নিশ্চিত হয়ে আছে।
• 'শাপে বর' বাগধারাটির অর্থ- 'অনিষ্ট করতে গিয়ে ভালো করা' / অনিষ্টে ইষ্ট লাভ।
বাক্য গঠন: চাকরি চলে যাওয়ায় তাঁর শাপে বর হয়েছে- ব্যবসায়ে দ্রুত উন্নতি হচ্ছে।
উৎস: বাগধারা ও বাগবিধি- মুহাম্মদ আসাদুজ্জামান, প্রমিত বাংলা ব্যাকরণ ও নির্মিতি, ড. হায়াৎ মামুদ ও ড. মোহাম্মদ আমীন।
১০) নিচের কোন বাক্যরূপটি শুদ্ধ?
অশ্রুজলে চোখ ভেসে গেলো।
সৎ চরিত্রের লোক সকলের প্রিয়।
অঙ্ক কষিতে ভূল করিওনা।
আমি ঘটনাটি চাক্ষুষ প্রত্যক্ষ করেছি।
সৎ চরিত্রের লোক সকলের প্রিয়।
ব্যাখ্যা:
শুদ্ধ বাক্য : সৎ চরিত্রের লোক সকলের প্রিয়।
---------------
• ভাষা শিক্ষা (ড. হায়াৎ মামুদ) অনুসারে, ''অশ্রুজলে চোখ ভেসে গেলো।'' - বাক্যটি অশুদ্ধ।
কিন্তু, বাংলা একাডেমি অভিধান অনুসারে - অশ্রুজলে চোখ ভেসে গেলো।'' - বাক্যটিও শুদ্ধ।
---------------------
ভাষা শিক্ষা (ড. হায়াৎ মামুদ) অনুসারে, ''অশ্রুজলে বুক ভেসে গেল'' বাক্যটির শুদ্ধরূপ হলো:- অশ্রুতে বুক ভেসে গেল।
অঙ্ক কষিতে ভূল করিওনা বাক্যটির শুদ্ধরূপ হলো:- অঙ্ক কষিতে ভুল করিওনা।
'আমি ঘটনাটি চাক্ষুস প্রত্যক্ষ করেছি।' বাক্যটির শুদ্ধরূপ হলো: 'আমি ঘটনাটি প্রত্যক্ষ করেছি।' / 'আমি ঘটনাটি চাক্ষুস দেখেছি।'
-----------------
বিশেষ তথ্য :
অশ্রু/অশ্রুজল/অশ্রুবারি:
তিনটি শব্দই শুদ্ধ। অশ্রু শব্দের অর্থ চোখের জল বা চোখের বারি। বাংলা একাডেমি বাংলা অভিধানমতে, সংস্কৃত অশ্রুজল (অশ্রু + জল) ও সংস্কৃত অশ্রুবারি (অশ্রু + বারি) শব্দের অর্থ নয়নবারি। শব্দ দুটি অশ্রুর সমার্থক।
অনেকে মনে করেন ‘অশ্রুবারি’ ও ‘অশ্রুজল’ বাহুল্য । তাদের যুক্তি, যেখানে অশ্রু অর্থ চোখের জল, সেখানে অশ্রুর সঙ্গে পুনরায় জল ও বারি লেখা হলে ‘অশ্রুজল/অশ্রুবারি' শব্দের অর্থ হয়ে যায় : চোখের জল জল। এ যুক্তি ঠিক নয়, ঠিক হতো যদি ‘অশ্রু ও বারি’ এবং ‘অশ্রু ও জল' পরস্পর ফাঁক রেখে যথাক্রমে ‘অশ্রু জল', ‘অশ্রু বারি’ লেখা হতো ।
উৎস : ভাষা শিক্ষা, ড. হায়াৎ মামুদ।
১১) 'অনাথ'-এর স্ত্রীলিঙ্গ কী?
অনাথীনি
অনাথিনী
অনাথি
নাথবতী
অনাথিনী
ব্যাখ্যা:
• অনাথ এর স্ত্রীলিঙ্গ: অনাথা, অনাথিনী।
-----------------
• অনাথিনী শব্দের অর্থ: নিরাশ্রয়া; সহায়হীনা।
উল্লেখ্য,
অনাথিনী শব্দটি অপপ্রয়োগ। অপশনে 'অনাথা' না থাকায় উৎস অনযায়ী 'অনাথিনী' সঠিক উত্তর হিসেবে নেওয়া হয়েছে।
-------------------
• কয়েকটি গুরুত্বপূর্ণ লিঙ্গান্তর:
ঠাকুর - ঠাকুরন/ ঠাকরুন/ ঠাকুরানী।
হুজুর - হুজুরাইন।
মৎস্য - মৎসী।
মনুষ্য - মনুষী।
মানুষ - মানুষী।
গো - গবী।
বিধাতা - বিধাত্রী।
মদ্দা ঘোড়া - মাদি ঘোড়া।
শুক - শারি।
দুলহা - দুলাইন।
উৎস: অষ্টম শ্রেণির ব্যাকরণ, বাংলা ভাষা ও সাহিত্য জিজ্ঞাসা, ড. সৌমিত্র শেখর।
১২) 'যে নারীর হাসি পবিত্র'-তাকে কী বলে?
সুচিস্মিতা
শুচিস্মিতা
সুহাসিনী
সুহাস্য
শুচিস্মিতা
ব্যাখ্যা:
‘যে নারীর হাসি পবিত্র’ এক কথায় বলে - শুচিস্মিতা।
----------------------
• নারী সম্পর্কিত কিছু এক কথায় প্রকাশ:
- যে নারীর হিংসা নেই = অনসূয়া।
- যে নারী বীর সন্তান প্রসব করে = বীরপ্রসূ।
- যে নারী বীর = বীরাঙ্গনা।
- যে নারী অন্য কারও প্রতি আসক্ত হয়না = অনন্যা।
- যে নারী কখনো সূর্যকে দেখে নাই = অসূর্যম্পশ্যা ।
- যে নারীর হাসি সুন্দর = সুস্মিতা/সুহাসিনী।
- যে নারী প্রিয় বাক্য বলে = প্রিয়ংবদা।
- যে নারীর নতুন বিয়ে হয়েছে = নবোঢ়া।
- যে মেয়ের বিয়ে হয়নি = অনূঢ়া।
উৎস: ভাষা-শিক্ষা, ড. হায়াৎ মামুদ এবং বাংলা ভাষার ব্যাকরণ।
১৩) 'দেখা যায়নি যা'-
অদৃষ্ট
অদৃশ্য
অদৃষ্টপূর্ব
অদেখা
অদৃশ্য
ব্যাখ্যা:
• 'দেখা যায়নি যা' এর এক কথায় প্রকাশ - অদৃশ্য।
--------------------
কিছু গুরুত্বপূর্ন এক কথায় প্রকাশ:
- যা পূর্বে কখনো হয়নি - অভূতপূর্ব।
- যা পূর্বে ছিলো এখন নেই - ভূতপূর্ব।
- যা পূর্বে দেখা যায়নি - অদৃষ্টপূর্ব।
- যা পূর্বে শোনা যায়নি - অশ্রুতপূর্ব।
- দমন করা যায়না যাকে = অদম্য।
- যা পূর্বে দেখা যায়নি = অদৃষ্টপূর্ব।
- কষ্টে নিবারণ করা যায় যা = দুর্নিবার।
- যাকে আদর করা হচ্ছে = আদ্রিয়মাণ।
- যিনি অতিশয় হিসাবে = পাটোয়ারি।
- যে পরের গুণেও দোষ ধরে = অসূয়ক।
- যে আকৃষ্ট হচ্ছে =কৃষ্যমাণ।
উৎস: বাংলা ভাষা ও সাহিত্য জিজ্ঞাসা- ড. সৌমিত্র শেখর, মাধ্যমিক বাংলা ২য় পত্র, বাংলাদেশ উন্মুক্ত বিশ্ববিদ্যালয়।
১৪) 'আমি কি ডরাই সখি ভিখারী রাঘবে?' বাক্যে 'রাঘবে' শব্দটি কোন কারকে কোন বিভক্তি?
করণে সপ্তমী
অপাদানে সপ্তমী
কর্মে সপ্তমী
অপাদানে শূন্য
অপাদানে সপ্তমী
ব্যাখ্যা:
• ‘আমি কি ডরাই সখি ভিখারি রাঘবে’ - অপাদান কারকে ৭মী বিভক্তির উদাহরণ।
----------------------
• রাঘব অর্থ পরের বা সরকারি সম্পদাদি অন্যায়ভাবে ভোগকারী প্রভাবশালী লোক, মস্ত বড় ধনী ব্যক্তি।
- যেহেতু প্রশ্নোক্ত বাক্যে রাঘবকে দেখে ভীত হওয়ার কথা বলা হয়েছে, তাই তা অপাদান কারক।
- আর 'রাঘবে' শব্দের সাথে 'এ' বিভক্তি যুক্ত আছে, তাই এটি অপাদানে সপ্তমী বিভক্তি।
অপাদান কারক:
যা থেকে কিছু বিচ্যুত, জাত, বিরত, আরম্ভ, উৎপন্ন, দূরীভূত ও রক্ষিত হয় এবং যা দেখে কেউ ভীত হয়, তাকেই অপাদান কারক বলে।
যেমন:
- বাবাকে বড্ড ভয় পাই।
- ট্রেন স্টেশন ছেড়েছে।
- গাছ হতে ফলটি পড়ল।
উৎস: মাধ্যমিক বাংলা ভাষার ব্যাকরণ ও নির্মিতি (২০১৯ সংস্করণ)।
১৫) 'তিলে তেল আছে' - বাক্যে 'তিলে' কোন কারকে কোন বিভক্তি?
অধিকরণে সপ্তমী
অধিকরণে শূন্য
অপাদানে সপ্তমী
অপাদানে শূন্য
অধিকরণে সপ্তমী
ব্যাখ্যা:
• 'তিলে তৈল আছে'- অধিকরণে সপ্তমী।
কিন্তু, 'তিলে তৈল হয়' - অপাদানে সপ্তমী।
----------------
• অধিকরণ কারক:
ক্রিয়ার আধারকে বলা হয় অধিকরণ কারক। আধার বলতে ক্রিয়া নিষ্পন্ন হওয়ার স্থান, কাল ও ভাবকে বােঝায়।
অর্থাৎ ক্রিয়া সম্পাদনের কাল এবং আধারকে বলা হয় অধিকরণ কারক।
- বাক্যের ক্রিয়াপদকে কোথায়, কখন ও কোনাে বিষয় বােঝাতে অধিকরণ কারক হয়।
- অধিকরণ কারকে সপ্তমী বিভক্তি অর্থাৎ এ, য়, তে ইত্যাদি বিভক্তি যুক্ত হয়।
যেমন:
- আধার (স্থান) : তিলে তৈল আছে।- বাক্যকে কোথায় তেল আছে? প্রশ্ন করলে উত্তর পাওয়া যায় (তিলের সারা অংশব্যাপী)।
--------------------
অন্যদিকে,
• অপাদান কারক:
- যা থেকে কোনাে কিছু উৎপত্তি, বিচ্যুত, জাত, গৃহীত, আরম্ভ, দূরীভূত ও রক্ষিত হয়, তাকে বলা হয় অপাদান কারক।
- বাক্যের ক্রিয়াপদকে কোথা হতে, কি থেকে, কিসের থেকে ইত্যাদি প্রশ্ন করলে উত্তরে যে কারক পাওয়া যায়, তা-ই হলাে অপাদান কারক।
যেমন:
⇒ তিলে তৈল হয়।- বাক্যকে কি থেকে তেল হয়? দ্বারা প্রশ্ন কররে উত্তর পাওয়া যায় ‘তিলে’। সুতরাং এ বিভক্তি যোগে ‘তিলে’ অপাদান কারকে সপ্তমী।
• অপাদান কারকের এরূপ কিছু উদাহরণ হলো:
- এ বনে বাঘের ভয় = অপাদান কারকে ৭মী বিভক্তি,
- মেঘ থেকে বৃষ্টি হয় = অপাদান কারকে ৫মী বিভক্তি,
- তিলে তৈল হয় = অপাদান কারকে ৭মী বিভক্তি,
- তিথির চেয়ে বিথী বড় = অপাদান কারকে ষষ্ঠী বিভক্তি,
- পরাজয়ে ডরে না বীর = অপাদান কারকে ৭মী বিভক্তি,
- ছাদ থেকে পানি পড়ে = অপাদান কারকে৫মী বিভক্তি।
উৎস: বাংলা ভাষার ব্যাকরণ, নবম-দশম শ্রেণি (২০১৯ সংস্করণ), মাধ্যমিক বাংলা ২য় পত্র, বাংলাদেশ উন্মুক্ত বিশ্ববিদ্যালয়।
১৬) 'কুন্তল' শব্দের সমার্থক শব্দ কোনটি?
অংশু
কেশ
কুবলয়
কমল
কেশ
ব্যাখ্যা:
• 'কুন্তল' শব্দের সমার্থক শব্দ: কেশ।
- 'কুন্তল' শব্দের অর্থ: চুল।
• “চুল” এর সমর্থক শব্দ:
কেশ, অলক, চিকুর, কুন্তল, কবরী।
----------------
• কিরণ’ শব্দের সমর্থক শব্দ: রশ্মি, কর, প্রভা, দীপ্তি, অংশু।
• পদ্ম শব্দের সমার্থক শব্দ - কমল, উৎপল, পঙ্কজ, কুমুদ, কুবলয়, শতদল, অরবিন্দ, রাজীব, নলিনী, সরোজ।
উৎস: মাধ্যমিক বাংলা ভাষার ব্যাকরণ ও নির্মিতি (২০২২ সংস্করণ), ভাষা-শিক্ষা, ড.হায়াৎ মাহমুদ।
১৭) 'আত্মজা' শব্দের সমার্থক শব্দ নয় কোনটি?
দুহিতা
তনয়া
পুত্র
কন্যা
পুত্র
ব্যাখ্যা:
• 'আত্মজা' শব্দের অর্থ: কন্যা।
• কন্যা শব্দের সমার্থক শব্দ- দুহিতা, আত্মজা, তনয়া, সুতা, নন্দিনী, মেয়ে,দুলালী, স্বজা।
-----------------
• 'আত্মজা' শব্দের সমার্থক শব্দ নয়: পুত্র।
•পুত্র শব্দের সমার্থক শব্দ:
- ছেলে, আত্মজ, নন্দন, দুলাল, খোকা।
সূত্র: বাংলা ভাষা ও সাহিত্য জিজ্ঞাসা, ড. সৌমিত্র শেখর, মাধ্যমিক বাংলা ভাষার ব্যাকরণ ও নির্মিতি (২০২২ সংস্করণ)।
১৮) 'ভূত' শব্দের বিপরীতার্থক শব্দ কী?
প্রেত
বর্তমান
ভবিষ্যৎ
অতীত
ভবিষ্যৎ
ব্যাখ্যা:
• ‘ভূত’ শব্দের বিপরীতার্থক শব্দ - ভবিষ্যৎ।
--------------
এরূপ কিছু বিপরীতার্থক শব্দ হলো:
• ‘নতুন’ শব্দের বিপরীতার্থক শব্দ - পুরাতন।
• ‘প্রাচীন’ শব্দের বিপরীতার্থক শব্দ - অর্বাচীন।
• ‘ত্বরা’ শব্দের বিপরীতার্থ শব্দ - বিলম্ব।
• 'সংহত' শব্দের বিপরীতার্থক শব্দ - বিভক্ত।
উৎস: বাংলা ভাষার ব্যাকরণ, নবম-দশম শ্রেণি (২০১৯ ও ২০২১ সংস্করণ)।
১৯) 'সন্ধি' শব্দের অর্থ কী?
সংক্ষেপণ
মিলন
একপদীকরণ
চিহ্ন
মিলন
ব্যাখ্যা:
• 'সন্ধি' শব্দের অর্থ - মিলন।
------------------
• সন্ধি:
- পাশাপাশি ধ্বনির মিলনকে সন্ধি বলে।
- অন্য কথায়, সন্নিহিত দুটি ধ্বনির মিলনকে সন্ধি বলে।
- সন্ধির প্রধান উদ্দেশ্য স্বাভাবিক উচ্চারণের সহজপ্রবণতা এবং ধ্বনিগত মাধুর্য সম্পাদন।
- সন্ধি শব্দ গঠনেরও একটি উপায়।
- তবে সন্ধির প্রধান সুবিধা হলো উচ্চারণের সুবিধা।
- তবে বাংলা ভাষায় উপসর্গ, প্রত্যয় ও সমাস প্রক্রিয়ায় শব্দ গঠনের ক্ষেত্রে সন্ধির সূত্র কাজে লাগে।
• সন্ধির কতিপয় উদ্দেশ্য:
- সন্ধি মাধ্যমে ধ্বনির মিলন হয়।
- নতুন শব্দ তৈরি করা হয়।
- উচ্চারণে সহজতা আসে।
• সন্ধির ক্ষেত্রে বর্জনীয়:
- বাংলা ক্রিয়াপদের সাথে সন্ধি করা যায় না।
- খাঁটি বাংলা শব্দের সাথে বিসর্গ সন্ধি করা যায় না।
অন্যদিকে,
• সমাস মানে সংক্ষেপ, মিলন, একাধিক পদের একপদীকরণ।
উৎস: ভাষা-শিক্ষা, ড. হায়াৎ মামুদ, মাধ্যমিক বাংলা ভাষার ব্যাকরণ ও নির্মিতি (২০১৯ সংস্করণ)।
২০) 'সতীশ' শব্দের সন্ধি বিচ্ছেদ কী হবে?
সতি + ইশ
সতি + ঈশ
সতী + ঈশ
সতী + ইশ
সতী + ঈশ
ব্যাখ্যা:
• 'সতীশ' শব্দের সন্ধি বিচ্ছেদ - সতী + ঈশ।
--------------
• স্বরসন্ধি:
স্বরধ্বনির সঙ্গে স্বরধ্বনির মিলনকে স্বরসন্ধি বলে।
• ই-কার কিংবা ঈ-কারের পর ই-কার কিংবা ঈ-কার থাকলে উভয়ে মিলে দীর্ঘ ঈ-কার হয়। দীর্ঘ ঈ-কার পূর্ববর্তী ব্যঞ্জনের সাথে যুক্ত হয়।
যেমন -
→ ই + ই = ঈ; অতি + ইত = অতীত।
→ ই + ঈ = ঈ; পরি + ঈক্ষা = পরীক্ষা।
→ ঈ + ই = ঈ; সতী + ইন্দ্র = সতীন্দ্র।
→ ঈ + ঈ = ঈ; সতী + ঈশ = সতীশ।
এরূপ - গিরীন্দ্র, ক্ষিতীশ, মহীন্দ্র, শ্রীশ, পৃথ্বীশ, অতীব, প্রতীক্ষা, প্রতীত, রবীন্দ্র, দিল্লীশ্বর ইত্যাদি।
উৎস: বাংলা ভাষার ব্যাকরণ, নবম-দশম শ্রেণি (২০১৯ সংস্করণ)।
২১) 'মাতা' শব্দের সঠিক প্রকৃতি-প্রত্যয় কোনটি?
√ মা + তৃচ/তা
√ মাতৃ + আ
√ মাত্ + আ
√ মাতা + অ
√ মা + তৃচ/তা
ব্যাখ্যা:
• কৃৎ প্রত্যয়: উৎস অনুসারে বাংলা ভাষায় ব্যবহৃত কৃৎ প্রত্যয়সমূহকে দুই ভাগে ভাগ করা যায়।
এগুলো হলো:
- বাংলা কৃৎ প্রত্যয় ও
- সংস্কৃত কৃৎ প্রত্যয়।
• উল্লিখিত 'মাতা' শব্দের প্রকৃতি-প্রত্যয় হবে '√ মা + তৃচ্'।
- এটি তৃচ্-প্রত্যয় যোগে গঠিত কৃত-প্রত্যয়ের উদাহরণ।
• তৃচ্-প্রত্যয়: প্রথমা একবচনে 'তৃ' থাকলে 'তৃ' থলে 'তা' হয়।
যেমন-
√ দা + তৃচ = দাতা,
√ মা + তৃচ = মাতা,
√ যুধ + তৃচ = যোদ্ধা।
উৎস: মাধ্যমিক বাংলা ভাষার ব্যাকরণ ও নির্মিতি, ২০১৯ সংস্করণ।
২২) 'কর পল্লবের ন্যায়' - ব্যাসবাক্যটি কোন সমাস?
মধ্যপদলোপী কর্মধারয়
উপমিত কর্মধারয়
উপমান কর্মধারয়
বহুব্রীহি সমাস
উপমিত কর্মধারয়
ব্যাখ্যা:
• 'কর পল্লবের ন্যায়' - ব্যাসবাক্যটি উপমিত কর্মধারয় সমাস।
------------------------
• উপমিত কর্মধারয়:
যাকে তুলনা করা হয়, তা উপমেয়। কিন্তু কর্মধারয় সমাসে উপমেয় পদের সাথে উপমান পদের সমাস হয়। এগুলোকে উপমিত কর্মধারয় সমাস বলে।
যেমন:
• কর পল্লবের ন্যায় = করপল্লব,
• পুরুষ সিংহের ন্যায় = সিংহপুরুষ,
• মুখ চন্দ্রের ন্যায় = চন্দ্রমুখ।
- এই সমাসে উভয় পদই বিশেষ্য হয়।
উৎস: বাংলা ভাষার ব্যাকরণ ও নির্মিতি, নবম-দশম শ্রেণি (২০২২ সংস্করণ); বাংলা ভাষার ব্যাকরণ, নবম-দশম শ্রেণি (২০১৯ সংস্করণ) এবং বাংলা ভাষা ও সাহিত্য জিজ্ঞাসা, ড. সৌমিত্র শেখর এবং বাংলাপিডিয়া।
২৩) 'জন্মান্ধ' কোন সমাস?
তৎপুরুষ
বহুব্রীহি
কর্মধারয়
অব্যয়ীভাব
তৎপুরুষ
ব্যাখ্যা:
• জন্ম হতে অন্ধ = জন্মান্ধ; তৎপুরুষ সমাসের উদাহরণ।
--------------------
• তৎপুরুষ সমাস:
পূর্বপদের বিভক্তি লােপ পেয়ে এবং পরপদের অর্থ প্রধানরূপে যে সমাস গঠিত হয়, তাকে বলা হয় তৎপুরুষ সমাস।
- ড. মুহম্মদ শহীদুল্লাহর মতে, যে সমাসে পূর্বপদের বিভক্তি লােপ পায় এবং উত্তরপদের অর্থ প্রধানরূপে বুঝায়, তাকে তৎপুরুষ সমাস বলে।
- তৎপুরুষ সমাসের পূর্বপদে দ্বিতীয়া থেকে সপ্তমী পর্যন্ত যে কোনাে বিভক্তি থাকতে পারে আর পূর্বপদের বিভক্তি হিসেবে এদের নামকরণ হয়।
• পঞ্চমী তৎপুরুষ সমাস:
যে সমাসে পূর্বপদে পঞ্চমী বিভক্তির (হইতে, থেকে, চেয়ে) লােপ পায় তাকে বলা হয় পঞ্চমী তৎপুরুষ সমাস।
যেমন:
- আগা থেকে গোড়া = আগাগোড়া।
- জন্ম হতে অন্ধ = জন্মান্ধ।
- রোগ হতে মুক্ত = রোগমুক্ত।
- ঋণ হতে মুক্ত = ঋণমুক্ত।
তেমনই- স্বর্গভ্রষ্ট, লোকভয়, মেঘমুক্ত, মুখভ্রষ্ট, পদচ্যুত, ধর্মভীরু ইত্যাদি।
উৎস: মাধ্যমিক বাংলা ২য় পত্র, বাংলাদেশ উন্মুক্ত বিশ্ববিদ্যালয়, ভাষা-শিক্ষা, ড. হায়াৎ মামুদ।
২৪) 'বর্ধমান' শব্দের সঠিক প্রকৃতি প্রত্যয় কোনটি?
√ বর্ধ + মান
√ বৃদ্ধি + মান
√ বৃধ + মান
√ বর্ধন + মান
√ বৃধ + মান
ব্যাখ্যা:
• 'বর্ধমান' শব্দের সঠিক প্রকৃতি প্রত্যয়: √ বৃধ + মান।
• বর্ধমান (বিশেষণ):
- সংস্কৃত শব্দ।
- প্রকৃতি প্রত্যয় = √ বৃধ্ + মান।
- অর্থ: বাড়ছে এমন, বৃধিশীল।
----------------
তবে, বাংলা ভাষার ব্যাকরণ, নবম-দশম শ্রেণি (২০১৯ সংস্করণ) অনুসারে,
'বর্ধমান' শব্দের সঠিক প্রকৃতি-প্রত্যয় হচ্ছে '√বৃধ্ + শানচ্' দেওয়া আছে।
উৎস: আধুনিক বাংলা অভিধান, বাংলা একাডেমি, বাংলা ভাষার ব্যাকরণ, নবম-দশম শ্রেণি (২০১৯ সংস্করণ)।
২৫) 'অনাবিল' শব্দের বিপরীত শব্দ কোনটি?
অননাবিল
আবিল
আবিলতা
অনাগত
আবিল
ব্যাখ্যা:
• 'অনাবিল' শব্দের বিপরীত শব্দ: 'আবিল'।
------------------------
আরো গুরুত্বপূর্ণ কিছু বিপরীত শব্দ:
- 'উদ্ধত' শব্দের বিপরীত শব্দ হলো - বিনীত।
- 'ভীরু' শব্দের বিপরীত শব্দ হলো - নির্ভীক।
- 'জঙ্গম' শব্দের বিপরীত শব্দ হলো - স্থাবর।
- 'ঢালু' শব্দের বিপরীত শব্দ হলো - সমান।
- 'উদ্যত' শব্দের বিপরীত শব্দ হলো- বিরত।
- 'উদ্ধত' শব্দের বিপরীত শব্দ হলো- বিনীত।
উৎস: ভাষা শিক্ষা, ড. হায়াৎ মামুদ
২৬) Translate the sentence into English-
"তার সব চেষ্টাই ব্যর্থ হলো"
All his efforts ended in smoke.
All his efforts ended in the smoke.
All his efforts ended in a smoke.
All his efforts ended in smoking.
All his efforts ended in smoke.
ব্যাখ্যা:
• তার সব চেষ্টাই ব্যর্থ হলো - বাক্যটির সঠিক translation হচ্ছে -
- All his efforts ended in smoke.
• End in smoke/ go up in smoke:
English Meaning: fail or end without anything being achieved, come to nothing.
Bangla Meaning: ব্যর্থতায় পর্যবসিত হওয়া।
Example: All the efforts of the principal to bring him around ended in smoke.
Source: Live MCQ Lecture.
২৭) Being "down to earth" means -
close to nature
thrown to ground
hopeful
realistic
realistic
ব্যাখ্যা:
• Down to earth
English Meaning: with no illusions or pretensions; practical and realistic.
Bangla Meaning: নিরহঙ্কারী, মোহমুক্ত ও বাস্তববাদী।
Ex. Sentence: The players like the coach because he’s down-to-earth and honest with them..
Bangla Meaning: খেলোয়াড়েরা তাদের কোচের মতই নিরহংকারী, মোহমুক্ত ও বাস্তববাদী চরিত্রের।
• অন্য অপশন গুলোর অর্থ -
- close to nature - প্রকৃতির কাছাকাছি।
- hopeful - আশাবাদী।
- thrown to ground - মাটিতে ছুঁড়ে ফেলা হয়েছে এমন।
Source: Live MCQ Lecture and Accessible Dictionary by Bangla Academy.
২৮) We should respect our teacher. (Imperative)
Respect our teacher.
Let us respect our teacher.
We may not hate our teacher.
Our teacher should be respected.
Let us respect our teacher.
ব্যাখ্যা:
• You ছাড়া অন্য Subject যেমন Should যুক্ত sentence কে imperative sentence করার structure:
• Imperative Sentence এর শুরুতে Let ব্যবহৃত হয়।
- এবং Subject এর Objective Form বসে।
- Let us + should এর পরবর্তী অংশ।
• সে অনুসারে, সঠিক উত্তর: Let us respect our teacher.
More Examples:
Assertive Sentence: We should love our country.
Imperative Sentence: Let us love our country.
Assertive Sentence: He plays football.
Imperative Sentence: Let him play football.
Assertive Sentence: We should go out.
Imperative Sentence: Let us go out.
২৯) Man hardly believes a liar, ____ ?
does he
doesn't he
are they
aren't they
does he
ব্যাখ্যা:
• শূন্যস্থানে সঠিক উত্তর হবে - does he?
- Complete sentence: Man hardly believes a liar, does he?
• Tag question করার নিয়ম -
- সাধারণত Tag question ব্যবহৃত হয় পূর্বে উল্লেখিত কোন উক্তি সত্য না মিথ্যা তা নিশ্চিত হওয়ার জন্য।
- Statement positive হলে tag question টা negative হবে।
- আবার statement negative হলে tag question positive হবে।
- Subject ও Tense অনুসারে auxiliary verb দ্বারা tag question তৈরি হয়।
• Tag question এর নিয়মানুযায়ী বাক্যটি Negative হওয়ায় Tag question Negative হবে।
- Hardly = কদাচিৎ/ না বললেই চলে।
- Hardly, seldom, rarely ইত্যাদি থাকলে সাধারণত Present Indefinite Tense হয়।
- আর hardly নিজেই Negative অর্থ প্রকাশ করায়, এর সাথে কোন নাবোধক শব্দ বসে না।
• বাক্যটি Present indefinite tense হওয়ায় Tag question এর ক্ষেত্রে does he হবে।
৩০) Verb form of the word 'apology' is-
apological
apologise
apologify
enapology
apologise
ব্যাখ্যা:
• Apology - (noun) ভুলত্রুটির জন্য) দুঃখ প্রকাশ; (ত্রুটি, অক্ষমতা ইত্যাদির জন্য) দুঃখজ্ঞাপক কথা
- এর verb form হচ্ছে - Apologise/ Apologize - (ত্রুটি ইত্যাদির জন্য) দুঃখ প্রকাশ করা বা অনুতপ্ত হওয়া।
• apologify এবং enapology বানানের কোনো শব্দ হয় না।
Other forms:
• Apolitical (adjective) রাজনীতিতে আগ্রহ নেই বা জড়িত নয় এমন; রাজনীতিবিমুখ।
• Apologetic (adjective) (ত্রুটি ইত্যাদির জন্য) দুঃখজ্ঞাপক; (ত্রুটি বা অক্ষমতার জন্য) কৈফিয়তমূলক।
Source Accessible Dictionary by Bangla Academy.
৩১) A person whose head is in the clouds is -
proud
a day dreamer
an aviator
a philanthropist
a day dreamer
ব্যাখ্যা:
• A person whose head is in the clouds is - a day dreamer.
Have one’s head in the clouds
English Meaning: (of a person) out of touch with reality/day dreaming.
Bangla Meaning: পরিস্থিতি সম্পর্কে পুর্ণ ধারণা না রাখা / আকাশ কুসুম কল্পনা।
Ex. Sentence: He's always got his head in the clouds.
Bangla Meaning: সে সর্বদাই দিবা-স্বপ্নে বিভোর থাকে।
- সুতরাং A person whose head is in the clouds is - day dreamer.
Source: Live MCQ Lecture.
৩২) Curd is made ____ milk.
of
in
by
with
প্রশ্নটি বাতিল করা হয়েছে
ব্যাখ্যা:
• Curd is made ____ milk.
- সঠিক উত্তর হবে - from
- অপশনে সঠিক উত্তর না থাকায় প্রশ্নটি বাতিল করা হয়েছে।
..........................................
• Preposition এর নিয়মানুযায়ী,
- কোন কিছু থেকে কোনো জিনিস তৈরি হলে যদি এর উপকরণ টি পরিবর্তন হয়ে যায় তাহলে make from হয়।
- যেমন - Butter is made from milk.
- এখানে মূল উপকরণ milk, যা পরিবর্তিত হয়ে butter হয়েছে।
• প্রদত্ত প্রশ্ন অনুযায়ী - Curd (দই) দুধ থেকে তৈরি করার পর মূল উপাদান (দুধ) আর দেখা যায় না।
- তাই এখানে Curd is made from milk.
• অপশনে সঠিক উত্তর নেই।
• আর যদি উপকরণ টি অপরিবর্তিত থাকে তবে made of হয়।
- যেমন - The table is made of wood.
- She wore a beautiful necklace made of silver.
- এখানে মূল উপকরণ অপরিবর্তিত রয়েছে।
৩৩) It is high time we (change) our food habit. Here the correct form of verb is-
change
will change
changed
should change
changed
ব্যাখ্যা:
• It is time/It is high time এরপর যদি subject না থাকে তবে to + verb হয়।
- Example: It is high time to stop corruption.
• It is time/ It is high time এরপর যদি subject থাকে তাহলে verb টি past tense এ হয়।
- It is high time we left the place.
- It is high time we stopped corruption.
- It is high time he changed his bad habits.
• সুতরাং, নিয়মানুযায়ী,
- It is high time we (change) our food habit এর সঠিক verb হবে changed.
- কারন it is high time এর পরে subject – we এসেছে এবং তার পরে change verb হিসেবে এসেছে।
- তাই ঐ verb change এর past form changed হবে।
- Complete sentence: It is high time we changed our food habit
৩৪) The idiom 'bring to book' means -
Book written by a famous writer
Punish
Valueless person
Impose
Punish
ব্যাখ্যা:
• Bring to book/ Bring someone to book (Idiom)
English Meaning: to punish someone and make that person explain their behaviour / bring someone to justice.
Bangla Meaning: শাস্তি দেওয়া এবং কৈফিয়ত চাওয়া / ন্যায় বিচারের মুখোমুখি করা
• উল্লেখিত প্রশ্নের অপশন গুলোর অর্থ:
ক) Book written by famous writer: কোন বিখ্যাত লেখক দ্বারা লিখিত বই।
খ) Punish - শাস্তি বা দণ্ড দেওয়া।
গ) Valueless person: মূল্যহীন ব্যক্তি।
ঘ) Impose - আরোপ করা; চাপানো।
• উল্লেখিত প্রশ্নের অর্থ গুলো বিবেচনা করে দেখা যায় Bring to book এর অর্থের সাথে Punish শব্দটির অর্থের মিল রয়েছে।
- তাই ‘Bring to book'-এর অর্থ হচ্ছে Punish।
Source: Live MCQ Lecture, Cambridge Dictionary and Accessible Dictionary by Bangla Academy.
৩৫) We eat to live. (complex)
We eat and want to live.
We eat so that we may live.
We eat so that we could live.
Although we eat, we live.
We eat so that we may live.
ব্যাখ্যা:
'We eat to live.'- এটি একটি Simple Sentence.
• Simple Sentence এ infinitive to থাকলে Complex Sentence এ রূপান্তর করার নিয়ম:
- to এর স্থলে In order that অথবা So that যুক্ত sub-ordinate clause ব্যবহৃত হয়
- এরপর noun phrase + may/might বসবে।
- Present tense এর ক্ষেত্রে may এবং Past tense এর ক্ষেত্রে might বসে।
• নিয়মানুসারে সঠিক উত্তর - We eat so that we may live.
Examples:
Simple: We earn money in order to live a happy life.
Complex: We earn money so that we may live a happy life.
Simple: He studied hard in order to pass the exam.
Complex: He studied hard so that he might pass the exam.
Source: A Passage to the English Language by S.M. Zakir Hussain.
৩৬) He behaved as though he ____ everything.
knows
knew
has known
had known
had known
ব্যাখ্যা:
• As if/as though এর পূর্বে past indefinite tense থাকলে এরপরে past perfect tense হয়।
- তাই শূন্যস্থানে সঠিক উত্তর: had known
- Complete sentence: He behaved as though he had known everything.
• কিন্তু Asif/as though এর পূর্বে present indefinite থাকলে এরপরে past indefinite tense হয়।
যেমন: She behaves as if she knew everything.
৩৭) Too many cooks spoil the -
lunch
juice
broth
food
broth
ব্যাখ্যা:
• শূন্যস্থানে সঠিক উত্তর হবে - broth.
- Complete sentence: Too many cooks spoil the broth.
- যার বাংলা অর্থ - অধিক সন্ন্যাসীতে গাজন নষ্ট।
• এটি একটি প্রবাদবাক্য।
- প্রবাদ বাক্যের ক্ষেত্রে শব্দের পরিবর্তন করা যায় না বা কোন শব্দের পরিবর্তে তার সমার্থক শব্দ ব্যবহার করা যায় না।
Source: Live MCQ Lecture.
৩৮) The antonym of 'Honorary' is-
honour
paid
monetary
respect
paid
ব্যাখ্যা:
• Honorary:
English meaning: An honorary position in an organization is one for which no payment is made.
Bangla meaning: অবৈতনিক।
• প্রশ্নে উল্লেখিত অপশন গুলোর অর্থ
ক) Honour: সম্মান; সম্ভ্রম; শ্রদ্ধা।
খ) Paid (past an past participle form of Pay_ - বেতন, মাইনে; (বিশেষত সামরিক বাহিনীতে) নিয়মিত কাজের জন্য মজুরি।
গ) Monetary - অর্থ বা মুদ্রা সম্বন্ধীয়; আর্থিক; মুদ্রা:
ঘ) Respect - সম্মান; উচ্চ ধারণা অথবা শ্রদ্ধা।
• প্রশ্নে উল্লেখিত অপশন গুলোর অর্থ বিবেচনা করে দেখা যায় Honorary শব্দটির অর্থ, Paid শব্দটির বিপরীত অর্থ প্রকাশ করে।
- তাই Honorary এর antonym হবে - Paid.
Source: Accessible Dictionary by Bangla Academy.
৩৯) Put the right word in the blank. "He reached the
____ of his literary career.
abattori
acme
admonish
penury
acme
ব্যাখ্যা:
• শূন্যস্থানে সঠিক উত্তর হবে - acme.
- Complete sentence: He reached the acme of his literary career.
- প্রদত্ত বাক্যটির অর্থ হচ্ছে সে তার ক্যারিয়ারের সর্বোচ্চ শিখরে উপনীত হয়েছে।
• Acme:
- English meaning: the highest stage of development or the most excellent example of something.
- Bengali meaning: শীর্ষ; চূড়া; উন্নতির সর্বোচ্চ শিখর; পরোৎকর্ষ: the acme of one’s career.
• অন্যদিকে,
• abattoir - কসাইখানা।
• admonish - মৃদু ভর্ৎসনা।
• penury - দারিদ্র্য
Source: Accessible Dictionary by Bangla Academy.
৪০) No one can ___ that he is clever.
defy
denounce
admire
deny
deny
ব্যাখ্যা:
• শূন্যস্থানে সঠিক হবে - deny.
- Complete sentence: No one can deny that he is clever.
- Bangla Meaning: কেউই অস্বীকার করতে পারে না যে সে চতুর।
- Deny শব্দের অর্থ- অস্বীকার করা।
অন্যান্য অপশন:
• Defy - প্রকাশ্যে বিরোধিতা করা; যুদ্ধার্থে আহবান করা; স্পর্ধা দেখানো।
• Admire - মুগ্ধদৃষ্টিতে তাকানো; বিস্ময়বিমুগ্ধ হওয়া; শ্রদ্ধা করা।
• Denounce -জনসম্মুখে অভিযুক্ত করা।
Source: Accessible Dictionary by Bangla Academy.
৪১) "ভাসা ভাসা পড়ায় কাজ হবে না"। The correct English translation of the sentence is -
Reading by fits and starts will not do.
Reading by a bird's eye view will not do.
Reading at a glance will not do.
Reading intermittently will not do.
Reading by a bird's eye view will not do.
ব্যাখ্যা:
• প্রশ্নে প্রদত্ত অপশন গুলো থেকে প্রাপ্ত -
(ক) By fits and starts
English Meaning: with irregular bursts of activity / in an impulsive and irregular manner.
Bangla Meaning: অনিয়মিত ভাবে ঘটা
(খ) A bird's eye view
English Meaning: 1. A general view from above.
Bangla Meaning: ১. উপর থেকে এক নজরে দেখা
English Meaning: 2. An overall or cursory look at something.
Bangla Meaning: ২. এক নজরে কোন কিছু সার্বিক বা ভাসা ভাসা দেখা
(গ) At a glance
English Meaning: immediately upon looking.
Bangla Meaning: দেখা মাত্র।
(ঘ) Intermittently
English Meaning: With intermissions; in an intermittent manner; intermittingly.
Bangla Meaning: থেকে থেকে; থেমে থেমে।
• সুতরাং বোঝা যাচ্ছে, bird's eye view যুক্ত বাক্যটি হবে সঠিক বাক্য।
- Complete sentence: Reading by a bird's eye view will not do.
- Bangla Meaning: ‘ভাসা ভাসা পড়ায় কাজ হবে না'
Source: Live MCQ Lecture.
৪২) 'Tooth and nail' means -
get by heart
go with heart
try hard
get hard
try hard
ব্যাখ্যা:
• Tooth and nail (Phrase)
English Meaning:
- to try very hard to get something you want/ completely, strongly, tried hard.
- Fight very fiercely
Bangla Meaning: দাঁতমুখ খিঁচে চেষ্টা করা; যথাসাধ্য প্রবলভাবে/ তীব্রভাবে, প্রাণপণে, কঠোর চেষ্টা করা।
Example Sentence: We fought tooth and nail to get the route of the new road changed.
Source: Cambridge Dictionary, Oxford Dictionary, Bangla Academy Dictionary
৪৩) Antonym for 'Adieu' is -
farewell
good bye
hello
valediction
hello
ব্যাখ্যা:
• "Adieu"
- শব্দটি মূলত: একটি ফরাসি শব্দ যার অর্থ: "goodbye" or "farewell."
- It is used to bid someone farewell or to express goodbye in a more formal or permanent sense.
• অপশনে প্রদত্ত শব্দগুলোর মধ্যে,
- Adieu শব্দটির উপযুক্ত বিপরীতার্থক শব্দ হলো, ’Hello‘ ,
- এটি দ্বারা মূলত: কাউকে স্বাগত জানানো হয় বা অভ্যর্থনা জানানো হয়।
• অন্য অপশনগুলোর মধ্যে -
ক) farewell - বিদায়।
খ) good bye - বিদায়; সম্ভাষণ; বিদায় বলা।
ঘ) valediction - বিদায়সম্ভাষণ।
Source: Accessible Dictionary by Bangla Academy.
৪৪) Which poet is known as the "Poet of Nature"?
John Keats
William Wordsworth
W.B. Yeats
John Milton
William Wordsworth
ব্যাখ্যা:
• William Wordsworth (1770 -1850) is known as the 'Poet of Nature'.
- He is one of the major poets of the Romantic Period.
- William Wordsworth is pre-eminently a - nature poet.
- তিনি ১৮৪৩ থেকে ১৮৫০ সাল পর্যন্ত England এর ‘Poet Laureate’ ছিলেন।
- William Wordsworth এবং Samuel Taylor Coleridge রচিত Lyrical Ballads এর প্রকাশনার মাধ্যমে Romantic Period এর সূচনা হয় ।
- Lyrical Ballads, William Wordsworth and Samuel Taylor Coleridge এর যৌথ প্রকাশনা কিন্তু এই প্রকাশনায় William Wordsworth এর অবদান ছিল সর্বোচ্চ ছিল বলে তাকে The father of Romantic Age বলা হয়।
• তাঁর কয়েকটি উপাধি হচ্ছে -
- Poet of Nature,
- Poet of Childhood,
- Lake Poet.
• Famous poems of Wordsworth:
- The Solitary Reaper
- Peter Bell
- The Recluse
- the World is too Much with Us
- Tintern Abbey
- Rainbow
- To The Cuckoo
- Laodamia
- Lucy Poems
- The Daffodils
- Ode on immortality
- The Excursion
- Michael etc
• The only play by William Wordsworth is The Borderers.
Source: An ABC of English Literature by Dr M Mofizar Rahman and Britannica.
৪৫) He said that he was innocent. (simple)
He said and he was innocent.
He was innocent so he said it.
That he was innocent was said by him.
He declared his innocence.
He declared his innocence.
ব্যাখ্যা:
• এখানে say- verb টিকে অবস্থার চাহিদা অনুযায়ী declare এ রূপান্তরিত হবে
- এরপর that যুক্ত clause টিকে একটি phrase এ রূপান্তর করতে হবে।
- সঠিক simple sentence টি হবে - He declared his innocence.
৪৬) I am looking forward to ____ you.
meet
meeting
met
meets
meeting
ব্যাখ্যা:
• শূন্যস্থানে সঠিক উত্তর হচ্ছে - meeting.
- Complete sentence: I am looking forward to meeting you.
• Use of Look forward:
- Look forward এরপর to + verb + ing বসে।
Example:
- I am looking forward to receiving your letter.
- I am looking forward to seeing you.
- My friend is looking forward to going to London.
• বাক্যে mind, cannot help, could not help, with a view to, look forward to, be used to, get used to, worth ইত্যাদির পর কোনাে Verb আসলে উক্ত Verb - এর সাথে ing যুক্ত হয়।
যেমন:
- He came to Dhaka with a view to visiting a new place.
- Would you mind closing the door?
- I don't mind taking a cup of tea.
- He cannot help laughing out loud.
Source: Applied English Grammar and Composition, P.C. DAS.
৪৭) He lives ____ honest means.
on
with
by
for
by
ব্যাখ্যা:
• শূন্যস্থানে সঠিক উত্তর হবে - by.
- Complete sentence: He lives by honest means.
• Live by something
- ​to follow a particular belief or set of principles.
- একটি নির্দিষ্ট বিশ্বাস বা নীতি অনুসরণ করে জীবন যাপন করা।
Source: Oxford learner's Dictionary.
৪৮) The new job offer was alluring. Here 'alluring' means-
Unexpected
Tempting
Ordinary
Dreary
Tempting
ব্যাখ্যা:
• Alluring - অর্থ মুগ্ধকর বা জাদুকরী।
• অপশনে উল্লেখিত শব্দ গুলোর অর্থ -
ক) Unexpected - অপ্রত্যাশিত।
খ) Tempting - উপলব্ধ করা বা মুগ্ধ করা।
গ) Ordinary -সাধারন।
ঘ) Dreary - বিষণ্ণ; নিরানন্দ।
• সুতরাং, বোঝা যাচ্ছে Alluring এবং Tempting একই অর্থ প্রকাশ করছে।
Source: Accessible Dictionary by Bangla Academy Dictionary.
৪৯) The main objective of a 'conjunction' is -
To separate
To connect
To improve
To degrade
To connect
ব্যাখ্যা:
• Conjunction
- যে Part of speech দুই বা ততোধিক Word, Phrase বা Clause এর মধ্যে সংযোগ স্থাপন করে, তাকে Conjunction বলে।
- অর্থাৎ, The main objective of a 'conjunction' is - To connect.
• There are three basic types of conjunctions:
1. Coordinating conjunctions:
যা সমমানের দুইটি word, phrase বা clause এর মধ্যে সংযোগ স্থাপন করে।
যেমনঃ and, or, but, etc…
2. Subordinating Conjunctions:
যে Conjunction একটি clause এর শুরুতে বসে অন্য clause এর স্থান, কাল, ধরণ, মাত্রা, ইত্যাদি বুঝানোর জন্য ব্যবহৃত হয়, তাকে Subordinating Conjunction বলে।
যেমনঃ when, how, if, lest, etc…
3. Correlative Conjunctions: পরস্পর সম্পর্কযুক্ত জোড়ায় জোড়ায় ব্যবহৃত conjunction গুলোই Correlative Conjunctions.
যেমনঃ as ….. as ; either ….. or ; not only ….. but also ; etc.
৫০) Reza ran fast lest he ____ the train.
miss
missed
should miss
will miss
should miss
ব্যাখ্যা:
• Conjunctionm এর নিয়মানুযায়ী, Lest এর পরের Clause এ Modal Auxiliary হিসেবে Should/ might/ be বসে।
- Lest নিজেই Negative হওয়ায় এর পর আর কোনো negative শব্দ no/not/never বসে না।
• Structures:
- Lest + 1st subject + should/might + base form + complement.
- Lest + 1st subject + should be /might be +be+ V3 + complement.
• সুতরাং, নিয়মানুযায়ী শূন্যস্থানে সঠিক উত্তর হবে - should miss
- Complete sentence: Reza ran fast lest he should miss the train.
৫১) দুটি সংখ্যার অনুপাত ৫ : ৬ এবং তাদের গ.সা.গু ৪ হলে সংখ্যা দুটির ল.সা.গু কত?
৯০
১১০
১২০
১৩০
১২০
ব্যাখ্যা:
প্রশ্ন: দুটি সংখ্যার অনুপাত ৫ : ৬ এবং তাদের গ.সা.গু ৪ হলে সংখ্যা দুটির ল.সা.গু কত?
সমাধান:
দেয়া আছে
দুইটি সংখ্যার অনুপাত ৫ : ৬
মনে করি,
একটি সংখ্যা ৫ক এবং
অপর সংখ্যাটি ৬ক
সংখ্যা দুটির গ.সা.গু = ক এবং ল.সা.গু = ৩০ক
শর্তমতে,
ক = ৪
সংখ্যা দুটির ল.সা.গু = ৩০ক
= ৩০ × ৪ = ১২০
৫২) 10 টি সংখ্যার যোগফল 380। এদের প্রথম 4 টির গড় 40 এবং শেষ 5 টির গড় 30 হলে; ৫ম সংখ্যাটি কত?
50
60
70
80
70
ব্যাখ্যা:
প্রশ্ন: 10 টি সংখ্যার যোগফল 380। এদের প্রথম 4 টির গড় 40 এবং শেষ 5 টির গড় 30 হলে; ৫ম সংখ্যাটি কত?
সমাধান:
প্রথম 4টি সংখ্যার গড় = 40
প্রথম 4টি সংখ্যার যোগফল = 40 × 4
= 160
শেষ 5টি সংখ্যার গড় = 30
শেষ 5টি সংখ্যার যোগফল = 30 × 5
= 150
9টি সংখ্যার যোগফল = 160 + 150
= 310
৫ম সংখ্যাটি = 380 - 310
= 70
৫৩) রিতু ও সিতু একটি কাজ একত্রে ৮ দিনে করতে পারে। তারা ৬ দিন কাজ করার পর সিতু চলে গেল। কাজটির কত অংশ বাকি থাকবে?
১/৪
১/২
১/৩
১/৫
১/৪
ব্যাখ্যা:
প্রশ্ন: রিতু ও সিতু একটি কাজ একত্রে ৮ দিনে করতে পারে। তারা ৬ দিন কাজ করার পর সিতু চলে গেল। কাজটির কত অংশ বাকি থাকবে?
সমাধান:
রিতু ও সিতু ৮ দিনে করতে পারে কাজটির = ১ অংশ
রিতু ও সিতু ১ দিনে করতে পারে কাজটির = ১/৮ অংশ
রিতু ও সিতু ৬ দিনে করতে পারে কাজটির = (১ × ৬)/৮ অংশ
= ৩/৪ অংশ
কাজ বাকি থাকে = (১ - ৩/৪) অংশ
= (৪ - ৩)/৪ অংশ
= ১/৪ অংশ
৫৪) পিতার বর্তমান বয়স পুত্রের বয়সের তিন গুণ। 5 বছর পূর্বে পিতার বয়স, পুত্রের বয়সের চারগুণ ছিল। পিতা ও পুত্রের বর্তমান বয়স কত?
54 ও 18
42 ও 14
45 ও 15
39 ও 13
45 ও 15
ব্যাখ্যা:
প্রশ্ন: পিতার বর্তমান বয়স পুত্রের বয়সের তিন গুণ। 5 বছর পূর্বে পিতার বয়স, পুত্রের বয়সের চারগুণ ছিল। পিতা ও পুত্রের বর্তমান বয়স কত?
সমাধান:
বর্তমানে পুত্রের বয়স = ক বছর
বর্তমানে পিতার বয়স = ৩ক বছর
প্রশ্নমতে,
(৩ক - ৫) = ৪(ক - ৫)
বা, ৩ক - ৫ = ৪ক - ২০
বা, ৪ক - ৩ক =২০ - ৫
∴ ক = ১৫
বর্তমানে পুত্রের বয়স = ১৫ বছর
বর্তমানে পিতার বয়স = ৩ × ১৫ = ৪৫ বছর
৫৫) একটি গাড়ির চাকা প্রতি মিনিটে 10 বার ঘুরে। চাকাটি 5 সেকেন্ডে কত ডিগ্রি ঘুরে?
50
300
360
3000
300
ব্যাখ্যা:
প্রশ্ন: একটি গাড়ির চাকা প্রতি মিনিটে 10 বার ঘুরে। চাকাটি 5 সেকেন্ডে কত ডিগ্রি ঘুরে?
সমাধান:
60 সেকেন্ডে চাকাটি ঘুরে 10 বার
1 সেকেন্ডে চাকাটি ঘুরে 10/60 বার
5 সেকেন্ডে চাকাটি ঘুরে 10 × 5/60 বার
= 5/6 বার
গাড়ির চাকা 1 বার ঘুরে অতিক্রম করে = 360 ডিগ্রি
গাড়ির চাকা 5/6 বার ঘুরে অতিক্রম করে =(360 × 5)/6 ডিগ্রি
= 300 ডিগ্রি
৫৬) ৪টি আপেল ২০ টাকায় কিনে ৩০ টাকায় বিক্রি করলে কত শতাংশ লাভ হয়?
৩৫%
৫০%
২০%
৫৫%
৫০%
ব্যাখ্যা:
প্রশ্ন: ৪টি আপেল ২০ টাকায় কিনে ৩০ টাকায় বিক্রি করলে কত শতাংশ লাভ হয়?
সমাধান:
৪টি আপেলের ক্রয়মূল্য = ২০ টাকা
৪টি আপেলের বিক্রয়মূল্য = ৩০ টাকা
লাভ = ৩০ - ২০ = ১০ টাকা
২০ টাকায় লাভ ১০ টাকা
১ টাকায় লাভ ১০/২০ টাকা
১০০ টাকায় লাভ (১০ × ১০০)/২০ টাকা
= ৫০ টাকা
৫৭) 8 টি দ্রব্য 5 টাকায় ক্রয় করে, 16 টি দ্রব্য কত টাকায় বিক্রয় করলে 10% লাভ হবে?
9
10
11
12
11
ব্যাখ্যা:
প্রশ্ন: 8 টি দ্রব্য 5 টাকায় ক্রয় করে, 16 টি দ্রব্য কত টাকায় বিক্রয় করলে 10% লাভ হবে?
সমাধান:
8 টি দ্রব্যরে ক্রয় মূল্য 5 টাকা
1 টি দ্রব্যরে ক্রয় মূল্য 5/8 টাকা
16 টি দ্রব্যরে ক্রয় মূল্য (5 × 16)/8 টাকা
= 10 টাকা
10% লাভে
ক্রয়মূল্য 100 টাকা হলে বিক্রয়মূল্য 110 টাকা
ক্রয়মূল্য 1 টাকা হলে বিক্রয়মূল্য 110/100 টাকা
ক্রয় মূল্য 10 টাকা হলে বিক্রয়মূল্য (110 × 10)/100 টাকা
= 11 টাকা
৫৮) a3 + 3√3 এর উৎপাদক নিচের কোনটি?
a2 + √3
a + √3
a2 - √3
a - √3
a + √3
ব্যাখ্যা:
প্রশ্ন: a3 + 3√3 এর উৎপাদক নিচের কোনটি?
সমাধান:
= a3 + 3√3
= a3 + (√3)3
= (a + √3) {a2 - a.√3 + (√3)2}
= (a + √3)(a2 - a√3 + 3)
৫৯) x/y এর সাথে কত যোগ করলে যোগফল x(1 + y)/y হয়?
x
y
x(1 - y)/y
1/x
x
ব্যাখ্যা:
প্রশ্ন: x/y এর সাথে কত যোগ করলে যোগফল x(1 + y)/y হয়?
সমাধান:
x(1 + y)/y - x/y
= {x(1 + y) - x}/y
= (x + xy - x)/y
= xy/y
= x
৬০) log497 + log√77 এর মান কত?
1/2
1
2
5/2
5/2
ব্যাখ্যা:
প্রশ্ন: log497 + log√77 এর মান কত?
সমাধান:
log497 + log√77
= log49√49 + log√7(√7)2
= log49(49)1/2 + log√7(√7)2
= (1/2)log49(49) + 2log√7(√7)
= (1/2) × 1 + 2 × 1
= (1/2) + 2
= (1 + 4)/2
= 5/2
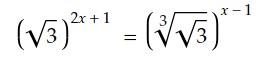
৬১) 
- 5/4
- 4/5
4/5
5/4
- 4/5
ব্যাখ্যা:
প্রশ্ন:

সমাধান:

বা, (3
1/2)
2x + 1 = {(3
1/2)
1/3}
x - 1বা, 3
(2x + 1)/2 = 3
(x - 1)/6বা, (2x + 1)/2 = (x - 1)/6
বা, 6(2x + 1) = 2(x - 1)
বা, 12x + 6 = 2x - 2
বা, 12x - 2x = - 2 - 6
বা, 10x = - 8
বা, x = - 8/10
∴ x = - 4/5
৬২) 4(a + b), 10(a - b) এবং 12(a2 - b2) এর গ.সা.গু কত?
a - b
a + b
12(a2 - b2)
2
2
ব্যাখ্যা:
প্রশ্ন: 4(a + b), 10(a - b) এবং 12(a2 - b2) এর গ.সা.গু কত?
সমাধান:
১ম রাশি = 4(a + b)
২য় রাশি = 10(a - b)
৩য় রাশি = 12(a2 - b2)
= 12(a + b)(a - b)
এখানে
4, 10 এবং 12 এর গ.সা.গু = 2
নির্ণেয় গ.সা.গু = 2
৬৩) দুটি সংখ্যার যোগফল, তাদের বিয়োগফলের দ্বিগুণ। সংখ্যা দুটির অনুপাত কত?
2 : 1
3 : 1
4 : 3
3 : 2
3 : 1
ব্যাখ্যা:
প্রশ্ন: দুটি সংখ্যার যোগফল, তাদের বিয়োগফলের দ্বিগুণ। সংখ্যা দুটির অনুপাত কত?
সমাধান:
ধরি,
সংখ্যা দুটি x, y
শর্তমতে,
x + y = 2(x - y)
বা, x + y = 2x - 2y
বা, y + 2y = 2x - x
বা, x = 3y
বা, x/y = 3/1
x : y = 3 : 1
৬৪) একটি বৃত্তের ব্যাসার্ধ 17 সে.মি. হলে এর পরিধি কত?
17π
34π
26π
51π
34π
ব্যাখ্যা:
প্রশ্ন: একটি বৃত্তের ব্যাসার্ধ 17 সে.মি. হলে এর পরিধি কত?
সমাধান:
বৃত্তের ব্যাসার্ধ r =17 সে.মি.
বৃত্তের পরিধি = 2πr
= 2 × π ×17 সে. মি.
= 34π সে. মি.
৬৫) p + q = √3 এবং p - q = √2 হলে, pq = কত?
1/4
3/4
2/3
3/2
1/4
ব্যাখ্যা:
প্রশ্ন: p + q = √3 এবং p - q = √2 হলে, pq = কত?
সমাধান:
p + q = √3
p - q = √2
আমরা জানি
4pq = (p + q)2 - (p - q)2
বা, 4pq = (√3)2 - (√2)2
বা, 4pq = 3 - 2
বা, 4pq = 1
বা, pq = 1/4
৬৬) 35 বর্গ সে.মি. ক্ষেত্রফলবিশিষ্ট একটি আয়তক্ষেত্রের দৈর্ঘ্য x সে.মি. এবং প্রস্থ (x - 2) সে.মি. হলে, x এর মান কত?
7
5
- 5
- 7
7
ব্যাখ্যা:
প্রশ্ন: 35 বর্গ সে.মি. ক্ষেত্রফলবিশিষ্ট একটি আয়তক্ষেত্রের দৈর্ঘ্য x সে.মি. এবং প্রস্থ (x - 2) সে.মি. হলে, x এর মান কত?
সমাধান:
আয়তক্ষেত্রের দৈর্ঘ্য x সে.মি. এবং প্রস্থ (x - 2) সে.মি.
প্রশ্নমতে
x(x - 2) = 35
বা, x2 - 2x = 35
বা, x2 - 2x - 35 = 0
বা, x2 - 7x + 5x - 35 = 0
বা, x(x - 7) + 5(x - 7) = 0
∴ (x - 7)(x + 5) = 0
হয়
x - 7 = 0
x = 7
অথবা
x + 5 = 0
x = - 5
আয়তক্ষেত্রের দৈর্ঘ্য = 7 সে.মি.
৬৭) একটি কোণের 4 গুণ 180° হলে, তার সম্পূরক কোণ কত?
10°
110°
120°
160°
প্রশ্নটি বাতিল করা হয়েছে
ব্যাখ্যা:
প্রশ্ন: একটি কোণের 4 গুণ 180° হলে, তার সম্পূরক কোণ কত?
সমাধান:
মনেকরি
একটি কোণ = x
প্রশ্নমতে
4x = 180
x = 45
দুইটি কোণের সমষ্টি 180° হলো, কোন দুইটির একটিকে অপরটির সম্পূরক কোণ বলে।
45° কোণের সম্পূরক কোণ = (180 - 45)° = 135°
অপশনে সঠিক উত্তর না থাকায় বাতিল করা হলো।
৬৮) দুটি ক্রমিক সংখ্যার বর্গের অন্তর 119 হলে, ছোট সংখ্যাটি কত?
38
59
60
78
59
ব্যাখ্যা:
প্রশ্ন: দুটি ক্রমিক সংখ্যার বর্গের অন্তর 119 হলে, ছোট সংখ্যাটি কত?
সমাধান:
ধরি,
ক্রমিক সংখ্যা দুইটি = x এবং (x + 1)
প্রশ্নমতে,
(x + 1)2 - x2 = 119
⇒ x2 + 2x + 1 - x2 = 119
⇒ 2x + 1 = 119
⇒ 2x = 119 - 1
⇒ 2x = 118
∴ x = 59
ছোট সংখ্যাটি = 59
৬৯) একটি রেখাংশের উপর অঙ্কিত বর্গক্ষেত্র ঐ রেখাংশের এক তৃতীয়াংশের উপর অঙ্কিত বর্গক্ষেত্রের কত গুণ?
৩ গুণ
৬ গুণ
৯ গুণ
দ্বিগুণ
৯ গুণ
ব্যাখ্যা:
প্রশ্ন: একটি রেখাংশের উপর অঙ্কিত বর্গক্ষেত্র ঐ রেখাংশের এক তৃতীয়াংশের উপর অঙ্কিত বর্গক্ষেত্রের কত গুণ?
সমাধান:
ধরি,
সরলরেখাটির দৈর্ঘ্য = x
সরলরেখার উপর অঙ্কিত বর্গ = x2
সরলরেখার এক-তৃতীয়াংশের উপর অঙ্কিত বর্গ = (x/3)2 বা, x2/9
একটি সরল রেখার উপর অঙ্কিত বর্গ ঐ সরলরেখার এক-তৃতীয়াংশের উপর অঙ্কিত বর্গের 9 গুণ।
৭০) (x/5)p = 1 হলে, p এর মান কত?
0
1
- 5
5
0
ব্যাখ্যা:
প্রশ্ন: (x/5)p = 1 হলে, p এর মান কত?
সমাধান:
(x/5)p = 1
বা, (x/5)p = (x/5)0
p = 0
৭১) একটি খাড়া খুঁটি মাটি থেকে 5 মিটার উপরে ভেঙ্গে বিচ্ছিন্ন না হয়ে অন্যপ্রান্ত ভূমিতে 5 মিটার দূরত্বে স্পর্শ করলে, খুঁটিটির উচ্চতা কত?
2√5
10
5(1 + √2)
(5 + 2√5)
5(1 + √2)
ব্যাখ্যা:
প্রশ্ন: একটি খাড়া খুঁটি মাটি থেকে 5 মিটার উপরে ভেঙ্গে বিচ্ছিন্ন না হয়ে অন্যপ্রান্ত ভূমিতে 5 মিটার দূরত্বে স্পর্শ করলে, খুঁটিটির উচ্চতা কত?
সমাধান:

মনেকরি
খুঁটিটির উচ্চতা = h মিটার
Δ ABC এ
tan∠ACB = AB/BC
tan∠ACB = 5/5
tan∠ACB = 1
tan∠ACB = tan45°
∠ACB = 45°
আবার
sin∠ACB = AB/AC
sin45° = 5/(h - 5)
1/√2 = 5/(h - 5)
h - 5 = 5√2
h = 5√2
h = 5√2 + 5
h = 5(1 + √2)
৭২) একটি বর্গক্ষেত্রের এক বাহুর দৈর্ঘ্যের দ্বিগুণ 6 একক হলে, এর কর্ণের দৈর্ঘ্যের দ্বিগুণ কত একক?
3
3√2
6√2
8√2
6√2
ব্যাখ্যা:
প্রশ্ন: একটি বর্গক্ষেত্রের এক বাহুর দৈর্ঘ্যের দ্বিগুণ 6 একক হলে, এর কর্ণের দৈর্ঘ্যের দ্বিগুণ কত একক?
সমাধান:
বর্গক্ষেত্রের এক বাহুর দৈর্ঘ্যের দ্বিগুণ 6 একক
বর্গক্ষেত্রের এক বাহুর দৈর্ঘ্য = 6/2 = 3 একক
বর্গক্ষেত্রের কর্ণের দৈর্ঘ্য = 3√2
বর্গক্ষেত্রের কর্ণের দৈর্ঘ্যের দ্বিগুণ = 3√2 × 2
= 6√2 একক
৭৩) কোনো ত্রিভুজের তিনটি বাহুকে বর্ধিত করলে উৎপন্ন বহিঃস্থ কোণ তিনটির সমষ্টি কত হবে?
180°
270°
360°
580°
360°
ব্যাখ্যা:
প্রশ্ন: কোনো ত্রিভুজের তিনটি বাহুকে বর্ধিত করলে উৎপন্ন বহিঃস্থ কোণ তিনটির সমষ্টি কত হবে?
সমাধান:

ত্রিভুজের একটি বাহু বর্ধিত করলে যে বহিঃস্থ কোণ উৎপন্ন হয় তা বিপরীত অন্তঃস্থ কোণদ্বয়ের সমষ্টির সমান।
∴ x + y + z = b + c + a + c + a + b
= 2( a + b + c)
= 2 × 180°
= 360°
∴ কোন ত্রিভুজের তিনটি বাহুকে বর্ধিত করলে উৎপন্ন বহিঃস্থ কোণ তিনটির সমষ্টি ৩৬০ ডিগ্রি
৭৪) নাজিম ২ বছরের জন্য ৩০০ টাকা এবং ৫ বছরের জন্য ৫০০ টাকা ঋণ নিল এবং মোট ১৫৫ টাকা সুদ দিল। উভয় ক্ষেত্রে সুদের হার সমান হলে, সুদের হার কত ছিল?
৪%
৫%
৫.৫%
৬%
৫%
ব্যাখ্যা:
প্রশ্ন: নাজিম ২ বছরের জন্য ৩০০ টাকা এবং ৫ বছরের জন্য ৫০০ টাকা ঋণ নিল এবং মোট ১৫৫ টাকা সুদ দিল। উভয় ক্ষেত্রে সুদের হার সমান হলে, সুদের হার কত ছিল?
সমাধান:
৩০০ টাকার ২ বছরের সুদ = (৩০০ × ২) বা ৬০০ টাকার ১ বছরের সুদ
৫০০ টাকার ৫ বছরের সুদ = (৫০০ × ৫) বা ২৫০০ টাকার ১ বছরের সুদ
এখন,
৩১০০ টাকার ১ বছরের সুদ = ১৫৫ টাকা
১ টাকার ১ বছরের সুদ = ১৫৫/৩১০০ টাকা।
∴ ১০০ টাকার ১ বছরের সুদ = (১৫৫ × ১০০)/৩১০০ টাকা।
= ৫ টাকা বা ৫%
৭৫) x + y = 3, x2 + y2 = 5 হলে, x3 + y3 = ?
34
9
45
54
9
ব্যাখ্যা:
প্রশ্ন: x + y = 3, x2 + y2 = 5 হলে, x3 + y3 = ?
সমাধান:
x + y = 3
x2 + y2 = 5
এখন
(x + y)2 = x2 + y2 + 2xy
⇒ 32 = 5 + 2xy
⇒ 9 - 5 = 2xy
⇒ 2xy = 4
∴ xy = 2
x3 + y3 = (x + y)3 - 3xy(x + y)
⇒ x3 + y3 = 33 - 3 × 2 × 3
⇒ x3 + y3 = 27 - 18
∴ x3 + y3 = 9
৭৬) বাংলাদেশের একমাত্র পাহাড়বিশিষ্ট দ্বীপ -
পাহাড়পুর
সেন্টমার্টিন
নিঝুমদ্বীপ
মহেশখালী
মহেশখালী
ব্যাখ্যা:
মহেশখালী:
- বাংলাদেশের একমাত্র পাহাড়ি দ্বীপ মহেশখালী।
- ১৫৫৯ খ্রিস্টাব্দে সংঘটিত প্রলয়ঙ্করী ঘূর্ণিঝড় ও জলোচ্ছ্বাসের ফলে মূল ভূখন্ড থেকে বিচ্ছিন্ন হয়ে মহেশখালী দ্বীপ সৃষ্টি হয়।
- কক্সবাজার জেলার অন্তর্গত একটি উপজেলা মহেশখালী।
- এর আয়তন ৩৬২.১৮ বর্গ কিমি।
- ১৯৮৩ সালের ১৫ ডিসেম্বর প্রশাসন মহেশখালী থানাকে উপজেলায় রুপান্তরিত করে।
- আদিনাথ মন্দির, মৈনাক পর্বত, সোনাদিয়া দ্বীপ, রাখাইনদের কেয়াং সহ বেশ কিছু দর্শণীয় স্থান রয়েছে মহেশখালীতে।
তথ্যসূত্র - বাংলাপিডিয়া।
৭৭) বন-জঙ্গল ধ্বংস করার ফলে বায়ুমণ্ডলে কোন গ্যাসের পরিমাণ বৃদ্ধি পাচ্ছে
CO
CO2
S2O
CFC
CO2
ব্যাখ্যা:
জলবাযু পরিবর্তনের প্রভাব:
- জলবায়ু পরিবর্তনের কারণেই বিশ্বের আবহাওয়ার ধরণ দিন দিন পরিবর্তিত হচ্ছে।
- সঠিকভাবে কোনো ঋতুতেই আমরা প্রকৃতির কাছ থেকে স্বাভাবিক আচরণ পাচ্ছি না।
- বৃষ্টির সময় অনাবৃষ্টি, শীতের সময়ে গরম আবহাওয়া এবং গরমের ভিন্নধর্মী আবহাওয়া ইত্যাদিই জলবায়ু পরিবর্তনেরই নেতিবাচক প্রভাব।
- এছাড়াও এশীয় ও প্রশান্ত মহাসাগরীয় অঞ্চলে সমুদ্রপৃষ্ঠ ফুলে উঠা, বন্য জীবজন্তুর সংখ্যা কমে যাওয়া, লোনা পানির প্রবেশ ঝুঁকি বৃদ্ধি, অসময়ে জলোচ্ছ্বাসের ব্যাপক ক্ষয়ক্ষতি, সুপেয় পানি দূষণ, বনাঞ্চল ধ্বংস, বাস্তুসংস্থানের উপর হুমকি, খরা বৃদ্ধি, বন্যা ও লবনাক্ততা দ্বারা ফসলি জমির ক্ষতি ইত্যাদি জলবায়ু পরিবর্তনেরই প্রভাব।
বনাঞ্চল:
- জলবায়ু পরিবর্তনজনিত কারণে সমুদ্রের পানির উচ্চতা বৃদ্ধি ও ঘূর্ণিঝড়ের মাত্রা বেড়ে গেলে বনভূমির উপরও প্রভাব পড়বে।
- গবেষণায় দেখা গেছে যে, সমুদ্রের পানির উচ্চতা যদি ৪৫ সেন্টিমিটার বাড়ে, তাহলে একমাত্র ম্যানগ্রোভ বনের ৭৫% পানির নিচে তলিয়ে যাবে।
- আর যদি সমুদ্র পৃষ্ঠের উচ্চতা ১ মিটার বৃদ্ধি পায় তাহলে প্রায় পুরো সুন্দরবন ও এর জীববৈচিত্র্য ধ্বংসের মুখোমুখি হবে।
- এছাড়া অধিক হারে বন-জঙ্গল ধ্বংস করার ফলে বায়ুমণ্ডলে কার্বন ডাই-অক্সাইড এর পরিমাণ বেড়ে যাবে এবং তাপমাত্রাও বৃদ্ধি পাবে।
উৎস: বিজ্ঞান, এসএসসি প্রোগ্রাম, বাংলাদেশ উন্মুক্ত বিশ্ববিদ্যালয় এবং ভূগোল ও পরিবেশ, এসএসসি প্রোগ্রাম, বাংলাদেশ উন্মুক্ত বিশ্ববিদ্যালয়।
৭৮) বাংলাদেশের আবাদী জমির কতটুকুতে ধানের চাষ হয়?
৫০%
৬০%
৭০%
৮০%
৮০%
ব্যাখ্যা:
ধান উৎপাদন:
- বাংলাদেশের প্রায় ৮০-৮৫ ভাগ জমিতে ধান চাষ করা হয়।
- কৃষি পরিসংখ্যান বর্ষগ্রন্থ - ২০২২ অনুসারে ময়মনসিংহ জেলায় সবচেয়ে বেশি ধান উৎপন্ন হয়।
- বিভাগ অনুসারে রংপুর বিভাগে সবচেয়ে বেশি ধান উৎপন্ন হয়।
- আউশ ধান উৎপাদনের শীর্ষে নওগাঁ জেলা।
- আমন ধান উৎপাদনের শীর্ষে দিনাজপুর জেলা।
- বোরো ধান উৎপাদনের শীর্ষে ময়মনসিংহ জেলা।
তথ্যসূত্র - কৃষি পরিসংখ্যান বর্ষগ্রন্থ ২০২২ ও কৃষি তথ্য সার্ভিস ওয়েবসাইট।
৭৯) নিম্নলিখিত কোন জেলায় জন সংখ্যার ঘনত্ব সবচেয়ে কম?
পটুয়াখালী
খাগরাছড়ি
রাঙামাটি
বান্দরবান
রাঙামাটি
ব্যাখ্যা:
জনশুমারি ও গৃহগণনা ২০২২:
- বাংলাদেশ পরিসংখ্যান ব্যুরো (BBS) জনশুমারি পরিচালনা করে।
- ষষ্ঠ জনশুমারি ও গৃহগণনা ২০২২ অনুষ্ঠিত হয় : ১৫-২১ জুন ২০২২
- এটি দেশের প্রথম ডিজিটাল শুমারি।
- জনশুমারি ও গৃহগণনা ২০২২ এর তথ্য সংগ্রহে যে পদ্ধতি অনুসরণ করা হয়েছে - CAPI.
- CAPI এর পূর্ণরুপ - Computer Assisted Personal Interviewing.
- গণনায় যে পদ্ধতি অনুসরণ করা হয়েছে- মোডিফাইড ডি-ফ্যাক্টো (Modified De-facto) পদ্ধতি।
- মোট জনসংখ্যা: ১৬ কোটি ৯৮ লাখ ২৮ হাজার ৯১১ জন।
- সবচেয়ে ঘনবসতিপূর্ণ জেলা- ঢাকা (১০০৬৭ জন)।
- সবচেয়ে কম ঘনবসতিপূর্ণ জেলা- রাঙ্গামাটি (১০৬ জন)।
- সবচেয়ে বেশি মানুষ বাস করে - ঢাকা বিভাগে (৪৫৬৪৪৫৮৬ জন)।
- সবচেয়ে কম মানুষ বাস করে - বরিশাল বিভাগে (৯৩২৫৮২০ জন)।
তথ্যসূত্র - পরিসংখ্যান ব্যুরোর ওয়েবসাইট।
৮০) বাঙালি জাতীয়তাবাদের মূল ভিত্তি হলো -
ভাষা ও সংস্কৃতি
ধর্ম
আঞ্চলিকতা
রাজনীতি
ভাষা ও সংস্কৃতি
ব্যাখ্যা:
বাংলায় ভাষা আন্দোলনের ভিত্তি:
- বাঙ্গালী জাতীয়তাবাদের ভিত্তিতে পূর্ব বাংলায় ভাষা আন্দোলন হয়েছিল।
- বাঙালির মুক্তি সংগ্রামের প্রথম ঘটনা হলো ভাষা আন্দোলন।
- এর ফলশ্রুতিতে পূর্ব বাংলার জনগণের মধ্যে নিজস্ব জাতীয়তাবোধ তথা বাঙালি জাতীয়তাবোধের উন্মেষ ঘটে।
- এই জাতীয়তাবোধের ভিত্তি ছিলো বাংলা ভাষা ও বাঙালি সংস্কৃতি।
- বাঙালি জাতীয়তাবাদের মাধ্যমে পূর্ব বাংলার মানুষের মধ্যে যে জাতীয় ঐক্যের সূচনা হয় তা-ই পরবর্তীতে ১৯৭১ সালের মহান মুক্তিসংগ্রামের মুখ্য প্রেরণা হিসেবে কাজ করেছিলো।
তথ্যসূত্র - বাংলাদেশ ও বিশ্বপরিচয়, নবম-দশম শ্রেণি।
৮১) রাষ্ট্রের সর্বাপেক্ষা গুরুত্বপূর্ণ উপাদান হলো -
নির্দিষ্ট ভূখণ্ড
জনসংখ্যা
সরকার
সার্বভৌমত্ব
সার্বভৌমত্ব
ব্যাখ্যা:
রাষ্ট্রের উপাদান:
রাষ্ট্রের সংজ্ঞা বিশ্লেষণ করলে রাষ্ট্রের ৪টি উপাদান পাওয়া যায়। যথা:
(১) জনসমষ্টি
(২) নির্দিষ্ট ভূখণ্ড
(৩) সরকার
(৪) সার্বভৌমত্ব।
- রাষ্ট্র গঠনের সর্বাপেক্ষা গুরুত্বপূর্ণ উপাদান হলো সার্বভৌমত্ব।
- সার্বভৌমত্ব রাষ্ট্র গঠনের সবচেয়ে গুরুত্বপুর্ণ ও অত্যাবশ্যকীয় উপাদান। এটি রাষ্ট্রের চরম, পরম ও সর্বোচ্চ ক্ষমতা।
তথ্যসূত্র - বাংলাদেশ ও বিশ্বপরিচয় বোর্ড বই ও পৌরনীতি, এসএসসি প্রোগ্রাম, বাংলাদেশ উন্মুক্ত বিশ্ববিদ্যালয়।
৮২) প্রথম ডিজিটাল জনশুমারী ও গৃহ গণনা অনুযায়ী দেশের মোট উপজেলা কয়টি?
৪৮০ টি
৪৮৬ টি
৪৯০ টি
৪৯৫ টি
৪৯৫ টি
ব্যাখ্যা:
জনশুমারি ও গৃহগণনা ২০২২:
- দেশে মোট সিটি কর্পোরেশন আছে - ১২টি।
- দেশে মোট উপজেলা আছে - ৪৯৫টি।
- মেট্রো থানা আছে - ১০৫টি।
- পৌরসভা আছে - ৩২৭টি।
- ইউনিয়নের সংখ্যা - ৪৫৯৬টি।
- মোট গ্রামের সংখ্যা - ৯০০৪৯টি।
তথ্যসূত্র - পরিসংখ্যান ব্যুরোর ওয়েবসাইট।
৮৩) পদ্মা সেতু দিয়ে যাত্রীবাহী ট্রেনের বাণিজ্যিক চলাচল শুরু হয় কবে?
১০ অক্টোবর ২০২৩
২৮ অক্টোবর ২০২৩
১ নভেম্বর ২০২৩
৪ নভেম্বর ২০২৩
১ নভেম্বর ২০২৩
ব্যাখ্যা:
পদ্মা সেতুতে রেল চলাচল:
- পদ্মা সেতুর সড়কপথ চালুর ১০ মাসের মাথায় ৪ এপ্রিল ২০২৩ সালে পদ্মা সেতু দিয়ে পরীক্ষামূলকভাবে ট্রেন চলাচল শুরু হয়।
- এদিন ৪১ কিলোমিটার রেলপথে পরীক্ষামূলকভাবে চলাচল করে ৭ বগি বিশেষ ট্রেনটি।
- ১ নভেম্বর ২০২৩ সালে পদ্মা সেতু দিয়ে যাত্রীবাহী ট্রেনের বাণিজ্যিক চলাচল শুরু হয়।
পদ্মা সেতু,
- পদ্মা সেতু প্রকল্পতে চীনের একটি কোম্পানী কাজ করে।
- মূল সেতুর কাজ করেছে চায়না মেজর ব্রিজ ইঞ্জিনিয়ারিং কোম্পানি লিমিটেড।
- পদ্মা সেতুর দৈর্ঘ্য ৬.১৫ কিলোমিটার।
- পদ্মা সেতু বাংলাদেশের দীর্ঘতম সেতু। সেতুটি মুন্সিগঞ্জের মাওয়া, লৌহজংকে শরীয়তপুরের জাজিরা প্রান্তের সঙ্গে সংযুক্ত করেছে। এর ফলে দেশের দক্ষিণ-পশ্চিম প্রান্ত উত্তর-পুর্বাঞ্চলের সঙ্গে যুক্ত হয়েছে।
- মাওয়া প্রান্তের দৈর্ঘ্য ১ দশমিক ৬১৭ কিলোমিটার।
- জাজিরা প্রান্তের দৈর্ঘ্য ১০ দশমিক ৫০ কিলোমিটার।
তথ্যসূত্র - দ্যা ডেইলী স্টার, ২৫ জুন ২০২২, দৈনিক ইত্তেফাক ৪ এপ্রিল ২০২৩ ও নয়া দিগন্ত, ০২ নভেম্বর ২০২৩।
৮৪) দেশের প্রথম 'এলিফ্যান্ট ওভারপাস' কোথায় অবস্থিত?
লাংলোক, বান্দরবান
লোহাগাড়া, চট্টগ্রাম
সীতাকুণ্ড, চট্টগ্রাম
নলিতাবাড়ী, শেরপুর
লোহাগাড়া, চট্টগ্রাম
ব্যাখ্যা:
এলিফ্যান্ট ওভারপাস:
- চট্টগ্রামের লোহাগাড়ার চুনতি বন্যপ্রাণী অভয়ারণ্যের বুক চিরে নির্মিত হয়েছে এশিয়ার প্রথম 'এলিফ্যান্ট ওভারপাস'।
- দোহাজারী-কক্সবাজার রেললাইনের কারণে বন্যপ্রাণী চলাচলে যেন বাধা সৃষ্টি না হয়, সে লক্ষ্যেই নেওয়া হয়েছে এ উদ্যোগ।
- এ ওভারপাসের ওপর অংশ দিয়ে হাতি ও নিচ দিয়ে ট্রেন চলাচলের ব্যবস্থা করা হয়েছে।
- দোহাজারী থেকে কক্সবাজার পর্যন্ত ১০০ কিলোমিটার রেললাইনের চুনতি, ফাঁসিয়াখালি ও মেধাকচ্ছপিয়ায় তিনটি বন্যপ্রাণী অভয়ারণ্য রয়েছে।
- এর মধ্যে চুনতিতে হয়ে গেছে প্রথম এলিফ্যান্ট ওভারপাস।
তথ্যসূত্র - ৮ অক্টোবর ২০২৩, সময় নিউজ।
৮৫) ২০২৩ সালের বিশ্বকাপ ক্রিকেটে বাংলাদেশের হয়ে প্রথম সেঞ্চুরি করেন কে?
সাকিব আল হাসান
মাহমুদুল্লাহ রিয়াদ
মুশফিকুর রহিম
লিটন দাস
মাহমুদুল্লাহ রিয়াদ
ব্যাখ্যা:
বিশ্বকাপে সেঞ্চুরি:
- ২০২৩ বিশ্বকাপে বাংলাদেশের একমাত্র ব্যাটার হিসেবে সেঞ্চুরি করেন মাহমুদউল্লাহ।
- মুম্বাইতে দক্ষিণ আফ্রিকার বিপক্ষে তিনি খেলেছিলেন ১১১ রানের ইনিংস। ওই সেঞ্চুরিতে একাধিক রেকর্ডের মালিক হন তিনি।
- প্রোটিয়াদের বিপক্ষে শতকটি ছিল বিশ্বমঞ্চে তার তৃতীয়।
- ২০১৫ সালে ইংল্যান্ড ও নিউজিল্যান্ডের বিপক্ষে তিন অঙ্ক ছুঁয়েছিলেন মাহমুদউল্লাহ।
- দুটি সেঞ্চুরি আছে সাকিব আল হাসানের, একটি মুশফিকুর রহিমের।
- একাধিক বিশ্বকাপে সেঞ্চুরি করা বাংলাদেশের প্রথম খেলোয়াড়ও মাহমুদউল্লাহ।
তথ্যসূত্র - ডেইলি স্টার, ১১ নভেম্বর, ২০২৩।
৮৬) একাদশ জাতীয় সংসদের শেষ অধিবেশন শুরু হয় কখন?
১৯ অক্টোবর, ২০২৩
২০ অক্টোবর, ২০২৩
২২ অক্টোবর, ২০২৩
৩০ অক্টোবর, ২০২৩
২২ অক্টোবর, ২০২৩
ব্যাখ্যা:
২৫তম অধিবেশন:
- একাদশ জাতীয় সংসদে ২৫টি অধিবেশনে মোট কার্যদিবস ছিল ২৭২ দিন।
- বিল পাস হয়েছে ১৬৫টি।
- একাদশ সংসদে প্রধানমন্ত্রীর উত্তর দেওয়ার জন্য মোট প্রশ্ন পাওয়া যায় ১ হাজার ৩৩৬টি।
- এর মধ্যে প্রধানমন্ত্রী জবাব দিয়েছেন ৫৬৬টি প্রশ্নের।
- ২২ অক্টোবর, ২০২৩ সালে একাদশ সংসদের ২৫তম অধিবেশন শুর হয়েছিল।
- শেষ হয় ০২ নভেম্বর, ২০২৩ সালে।
তথ্যসূত্র - দৈনিক প্রথম আলো, ০২ নভেম্বর, ২০২৩ সালে।
৮৭) জন্ম ও মৃত্যু নিবন্ধনের শর্টকোড কোনটি?
১৬১৫২
১৬১০৬
৯৯৯
৩৩৩
১৬১৫২
ব্যাখ্যা:
- জন্ম ও মৃত্যু নিবন্ধনের শর্টকোড : ১৬১৫২
- জাতীয় জরুরি সেবা হটলাইন : ৯৯৯
- নারী ও শিশু নির্যাতন প্রতিরোধ হটলাইন : ১০৯
- দুদক হটলাইন : ১০৬
- সরকারি তথ্য ও সেবা হটলাইন : ৩৩৩।
তথ্যসূত্র - জাতীয় তথ্য বাতায়ন।
৮৮) শেখ মুজিবুর রহমান 'বঙ্গবন্ধু' উপাধিতে ভূষিত হন কবে?
২ মার্চ ১৯৭০
২৩ ফেব্রুয়ারি ১৯৬৯
২৬ মার্চ ১৯৭১
২৩ মার্চ ১৯৭১
২৩ ফেব্রুয়ারি ১৯৬৯
ব্যাখ্যা:
'বঙ্গবন্ধু' উপাধি:
- ১৯৬৯ সালের ২২ ফেব্রুয়ারি আগরতলা ষড়যন্ত্র মামলা প্রত্যাহার করে এবং শেখ মুজিবুর রহমানকে মুক্তি দেয়া হয়। মুক্তি দেয়া হয় রাজবন্দীদেরও।
- শেখ মুজিবুর রহমানের মুক্তি লাভে ঢাকায় আনন্দের জোয়ার বয়ে যায়।
- ২৩ ফেব্রুয়ারি ১৯৬৯ সালে ঢাকার তৎকালীন রেসকোর্স ময়দানে (বর্তমানে সোহরাওয়ার্দি উদ্যান) শেখ মুজিবকে 'বঙ্গবন্ধু' উপাধি দেয়া হয়।
- পাঁচ লক্ষ লোকের উপস্থিতিতে উক্ত সমাবেশে ছাত্রনেতা তোফায়েল আহমেদের প্রস্তাবনায় শেখ মুজিবকে 'বঙ্গবন্ধু' উপাধিতে ভূষিত করা হয়।
- উক্ত সভাতেই ‘জয় বাংলা' স্লোগানের উদ্ভব ঘটে।
- সভায় ‘বঙ্গবন্ধু’ ছয়দফা ও এগার দফা দাবি অর্জিত না হওয়া পর্যন্ত আন্দোলন চালিয়ে যাওয়ার অঙ্গিকার ব্যক্ত করেন।
তথ্যসূত্র - বাংলাদেশের ইতিহাস ও বিশ্বসভ্যতা, এসএসসি প্রোগ্রাম, বাংলাদেশ উন্মুক্ত বিশ্ববিদ্যালয়।
৮৯) "প্রজাতন্ত্রের রাষ্ট্রভাষা বাংলা" বাংলাদেশের সংবিধানের কত নং অনুচ্ছেদে উল্লেখ করা হয়েছে?
অনুচ্ছেদ-৭
অনুচ্ছেদ-৫
অনুচ্ছেদ-৩
অনুচ্ছেদ-১৩
অনুচ্ছেদ-৩
ব্যাখ্যা:
অনুচ্ছেদ:
- স্বাধীন বাংলাদেশের সংবিধানের মোট এগারটি ভাগ রয়েছে।
- বাংলাদেশ সংবিধানের ৫নং অনুচ্ছেদ অনুযায়ী 'বাংলাদেশের রাজধানী ঢাকা' সম্পর্কে বর্ণিত আছে।
- অনুচ্ছেদ ১ - প্রজাতন্ত্র।
- অনুচ্ছেদ ২ - প্রজাতন্ত্রের রাষ্ট্রীয় সীমানা।
- অনুচ্ছেদ ৩ - রাষ্ট্রভাষা।
- অনুচ্ছেদ ৪ - জাতীয় সঙ্গীত, পতাকা ও প্রতীক।
- অনুচ্ছেদ ৫(১) - অনুযায়ী প্রজাতন্ত্রের রাজধানী ঢাকা।
- অনুচ্ছেদ ৫(২) - অনুযায়ী রাজধানীর সীমানা আইনের দ্বারা নির্ধারিত হবে।
- অনুচ্ছেদ ৬ - নাগরিকত্ব।
- অনুচ্ছেদ ৭ - সংবিধানের প্রাধান্য।
- অনুচ্ছেদ ৮ - রাষ্ট্র পরিচালনার মূলনীতি।
তথ্যসূত্র - বাংলাদেশের সংবিধান।
৯০) দেশের প্রথম বায়ু বিদ্যুত কেন্দ্র কোন জেলায় অবস্থিত?
ফেনী
কক্সবাজার
চাঁদপুর
পটুয়াখালী
ফেনী
ব্যাখ্যা:
বায়ু বিদ্যুৎ কেন্দ্র:
- দেশের প্রথম বায়ু বিদ্যুত কেন্দ্র ফেনী জেলায় অবস্থিত।
- ২০০৪ সালে সোনাগাজী সদর ইউনিয়নে মুহুরী সেচ প্রকল্প এলাকায় দেশের প্রথম বায়ুশক্তি চালিত বিদ্যুৎ প্রকল্পটি নির্মিত হয়।
- সাড়ে সাত কোটি টাকা ব্যয়ে এ প্রকল্পর থেকে বিদ্যুৎ উৎপাদনের লক্ষ্যমাত্রা ছিল দিনে ৯০০ কিলোওয়াট (০.৯ মেগাওয়াট)।
- প্রকল্পটি নির্মাণ করে ভারতের নেবুলা টেকনো সল্যুশন কোম্পানি লিমিটেড।
অন্যদিকে,
- দেশের সবচেয়ে বড় বায়ু বিদ্যুৎ কেন্দ্র কক্সবাজারের খুরুশকুল বিদ্যুৎ কেন্দ্র।
- চীনের অর্থায়নে প্রকল্পের ব্যয় ধরা হয়েছে ৯০০ কোটি টাকা।
- কক্সবাজারের ৬০ মেগাওয়াট বায়ু বিদ্যুৎ কেন্দ্রে আনুষ্ঠানিকভাবে বিদ্যুৎ উৎপাদন শুরু হয়েছে।
সূত্র -কালের কন্ঠ ও যুগান্তর পত্রিকা রিপোর্ট।
৯১) কোনটি নবায়ন যোগ্য সম্পদ?
প্রাকৃতিক গ্যাস
বায়ু
চুনাপাথর
কয়লা
বায়ু
ব্যাখ্যা:
শক্তির উৎস:
- শক্তির উৎস প্রধানত দুই প্রকার।
যথা-
১। নবায়নযোগ্য শক্তির উৎস:
- নবায়নযোগ্য শক্তিকে বারবার ব্যবহার করা যায়।
- নবায়নযোগ্য শক্তি পরিবেশ বান্ধব এবং এই শক্তিকে গ্রীন শক্তিও বলা হয়।
যেমন- সমুদ্রস্রোত, বায়ুপ্রবাহ, সৌর শক্তি, ভূ-তাপীয় শক্তি ইত্যাদি নবায়নযোগ্য শক্তির উৎস।
২। অনবায়নযোগ্য শক্তির উৎস:
- অন্যদিকে অনবায়নযোগ্য শক্তিকে পুনরায় ব্যবহার করা যায় না।
- প্রকৃতিতে অনবায়নযোগ্য শক্তির উৎস সীমিত।
- আমাদের দেশে চাহিদার তুলনায় অনবায়নযোগ্য শক্তির মজুদের পরিমাণ খুব বেশি নয়।
- অনবায়নযোগ্য শক্তির উৎপাদনের খরচ বেশি এবং এটি অনেক ক্ষেত্রে পরিবেশ বান্ধব নয়।
যেমন- কয়লা, খনিজ তেল, নিউক্লিয় শক্তি, প্রাকৃতিক গ্যাস ইত্যাদি অনবায়নযোগ্য শক্তির উৎস।
উৎস: পদার্থবিজ্ঞান, এসএসসি প্রোগ্রাম, বাংলাদেশ উন্মুক্ত বিশ্ববিদ্যালয়।
৯২) কোন প্রযুক্তিটি চতুর্থ শিল্প বিপ্লবের সাথে সম্পৃক্ত নয়?
টেলিগ্রাফ
রোবোটিক্স
থ্রি-ডি প্রিন্টিং
আইওটি
টেলিগ্রাফ
ব্যাখ্যা:
শিল্প বিপ্লব:
- ১৭৮৪ সালে পানি ও বাষ্পীয় ইঞ্জিনের নানামুখী ব্যবহারের কৌশল আবিষ্কারের মাধ্যমে সংঘটিত হয়েছিল প্রথম শিল্পবিপ্লব।
- ১৮৭০ সালে বিদ্যুৎ আবিষ্কারের ফলে একেবারেই পাল্টে যায় মানুষের জীবনের চিত্র যার ফলে শারীরিক শ্রমের দিন কমতে থাকে দ্রুততর গতিতে এবং তার মাধ্যমে শুরু হয় দ্বিতীয় শিল্পবিপ্লব।
- দ্বিতীয় শিল্পবিপ্লবের ঠিক ১০০ বছরের মাথায় ১৯৬৯ সালে আবিষ্কৃত হয় ইন্টারনেট যার মাধ্যমে শুরু হয় ইন্টারনেট ভিত্তিক তৃতীয় শিল্পবিপ্লব।
- প্রযুক্তিনির্ভর ও ডিজিটাল বৈপ্লবিক পরিবর্তনকে বলা হচ্ছে ‘চতুর্থ শিল্পবিপ্লব’।
- চতুর্থ শিল্পবিপ্লবের ধারণাটি প্রথম এপ্রিল, ২০১৩ সালে জার্মানিতে আনুষ্ঠানিকভাবে উপস্থাপিত হয়েছিল।
- ডিজিটাল বাংলাদেশকে টেকসই করতে চতুর্থ শিল্প বিপ্লবের সঙ্গে তাল মিলিয়ে ডিজিটাল ডেভেলপমেন্ট, ডিজিটাল টেকনোলজি, বায়োটেকনোলজি, ন্যানোটেকনোলজি, অ্যাডভান্স টেকনোলজি, ইন্সট্রাকশনাল টেকনোলজি Robotics, IT/ITES, Cloud Computing, VLSI (Very-Large-Scale-Integration), Navigation (Vehicle), Hardware Navigation, ই-কমার্স, সফটওয়্যার ইঞ্জিনিয়ারিং, টেলিকমিউনিকেশন ইঞ্জিনিয়ারিং, নেটওয়ার্ক অ্যান্ড কমিউনিকেশন ম্যানেজমেন্ট, তথ্য ও যোগাযোগ প্রযুক্তি ব্যবস্থাপনা, থ্রি ডি প্রিন্টেড, সাইবার ফিজিক্যাল সিস্টেম (সিপিএস), আইওটি, ইন্ডাস্ট্রিয়াল ইন্টারনেট অফ থিংস, ক্লাউড কম্পিউটিং, কগনিটিভ কম্পিউটিং এবং কৃত্রিম বুদ্ধিমত্তা, সাইবার নিরাপত্তা ও ব্যবস্থাপনা, ই-বর্জ্য ব্যবস্থাপনাসহ সংশ্লিষ্ট বিষয়ে সরকারি ও বেসরকারীভাবে নানা উদ্যোগ নেয়া হয়েছে।
অন্যদিকে,
- 'টেলিগ্রাফ' প্রযুক্তিটি চতুর্থ শিল্প বিপ্লবের সাথে সম্পৃক্ত নয়।
উৎস: দৈনিক যুগান্তর, বণিক বার্তা এবং জনকন্ঠ পত্রিকা।
৯৩) বজ্রবৃষ্টির ফলে মাটিতে উদ্ভিদের কোন খাদ্য উপাদান বৃদ্ধি পায়?
পটাশিয়াম
অক্সিজেন
নাইট্রোজেন
ফসফরাস
নাইট্রোজেন
ব্যাখ্যা:
- মাটিতে নাইট্রোজেনের উৎস নাইট্রোজেন লবণ।
- বায়ুমণ্ডলে শতকরা প্রায় ৮০ ভাগ নাইট্রোজেন থাকা সত্ত্বেও উদ্ভিদ সরাসরি বায়ুমণ্ডল থেকে নাইট্রোজেন গ্রহণ করতে পারে না।
- উদ্ভিদ মাটি থেকে আয়নিত অবস্থায় নাইট্রোজেন গ্রহণ করে থাকে।
- বিশ্বে ব্যবহৃত নাইট্রোজেন সারের মধ্যে ইউরিয়া অন্যতম প্রধান এবং বহুল ব্যবহৃত সার।
- বজ্রপাত একটি শক্তিশালী সার প্রদানকারী এজেন্ট।
- প্রতিবার বজ্রপাত ঘটলে বায়ুমণ্ডলে নাইট্রোজেন হাইড্রোজেন বা অক্সিজেনের সাথে মিলিত হয়ে অ্যামোনিয়াম এবং নাইট্রেট তৈরি করে।
- নাইট্রোজেন তারপর বৃষ্টিতে মাটিতে ধুয়ে যায়।
- গাছপালা তখন মাটি থেকে 'নাইট্রোজেন' শোষণ করে এবং বৃদ্ধির জন্য ব্যবহার করে।
- যেহেতু এটি ক্লোরোফিলের একটি মূল উপাদান বিধায় নাইট্রোজেন গাছের সবুজায়ন ঘটায়।
Lightening is a potent fertilizing agent. Every time it strikes, nitrogen in the atmosphere is combined with hydrogen or oxygen to form ammonium and nitrate, two forms of nitrogen. The nitrogen then goes into solution in atmospheric moisture and is washed to the ground in rainfall. Plants then absorb nitrogen from the ground and utilize it for growth. Since it is a key constituent in chlorophyll, the green pigment of plants, nitrogen causes a greening of the plant.
উৎস: সাধারণ বিজ্ঞান, এসএসসি প্রোগ্রাম; উন্মুক্ত বিশ্ববিদ্যালয়; cals.arizona.edu.
৯৪) 'V-20' গ্রুপ কীসের সাথে সম্পর্কিত?
জলবায়ু পরিবর্তন
কৃষি উন্নয়ন
দারিদ্র বিমোচন
মানবাধিকার
জলবায়ু পরিবর্তন
ব্যাখ্যা:
V-20 বা Vulnerable - 20:
- V-20 বা Vulnerable - 20 হচ্ছে - জলবায়ু পরিবর্তনের প্রভাবে ঝুঁকিপূর্ণ ২০টি দেশের অর্থমন্ত্রীদের নিয়ে গঠিত একটি ফোরাম।
- প্রতিষ্ঠাকাল - অক্টোবর, ২০১৫ সাল।
- সদর দপ্তর - আকরা, ঘানা।।
- বর্তমান সদস্য সংখ্যা - বাংলাদেশ সহ মোট ৬৮টি দেশ।
তথ্যসূত্র - V-20 ওয়েবসাইট।
৯৫) কোন দেশটি এশিয়া মহাদেশের অন্তর্ভুক্ত নয়?
সিরিয়া
লিবিয়া
ইরাক
জর্দান
লিবিয়া
ব্যাখ্যা:
এশিয়া (Asia):
- লিবিয়া আফ্রিকা মহাদেশের অন্তর্গত একটি দেশ।
- আয়তনে পৃথিবীর বৃহত্তম মহাদেশ এশিয়া।
- পৃথিবীর স্থলভাগের প্রায় এক তৃতীয়াংশের কাছাকাছি এশিয়া মহাদেশের অন্তর্ভুক্ত।
- এর আয়তন ১৭,২২৬,২০০ বর্গ মাইল (৪৪,৬১৪,০০০ বর্গ কিমি)।
- এশিয়া মহাদেশের প্রায় মধ্যভাগ দিয়ে ৯০° পূর্ব দ্রাঘিমারেখা অতিক্রম করেছে।
- এ মহাদেশের সর্বোচ্চ স্থান মাউন্ট এভারেষ্ট।
- মহাদেশটির উত্তরে উত্তর মহাসাগর, দক্ষিণে ভারত মহাসাগর, পূর্বে প্রশান্ত মহাসাগর, দক্ষিণ-পশ্চিমে লোহিত সাগর ও আফ্রিকা মহাদেশ এবং পশ্চিমে ভূ-মধ্যসাগর ও ইউরোপ মহাদেশ অবস্থিত।
- এশিয়া এবং ইউরোপ মহাদেশের মাঝ বরাবর ইউরাল পর্বতমালা অবস্থিত।
- দ্বীপপুঞ্জ দ্বারা গঠিত জাপান, ফিলিপাইন, ইন্দোনেশিয়া এ মহাদেশে অবস্থিত।
- এগুলোকে খণ্ডিত রাষ্ট্রও বলা হয়।
- এ মহাদেশের অন্তর্ভুক্ত জাপানকে সূর্যোদয়ের দেশ বলা হয়।
- এর মধ্যে আয়তনে চীন বৃহত্তম এবং মালদ্বীপ ক্ষুদ্রতম।
- এশিয়ার দীর্ঘতম নদী ইয়াংসিকিয়াং।
তথ্যসূত্র - Britammica.com
৯৬) 'পালাউ' দেশটি কোন মহাদেশে অবস্থিত?
এশিয়া
ইউরোপ
আফ্রিকা
ওশেনিয়া
ওশেনিয়া
ব্যাখ্যা:
পালাউ:
- আনুষ্ঠানিকভাবে পালাউ প্রজাতন্ত্র, দ্বীপ দেশ।
- 'পালাউ' দেশটি ওশেনিয়া মহাদেশে অবস্থিত।
- আয়তন: ১৮৯ বর্গ মাইল (৪৯০ বর্গ কিমি)।
- রাজধানী: মেলেকোক।
- ভাষা: পালাউয়ান, ইংরেজি (উভয় সরকারী)।
- ধর্ম: খ্রিস্টান ধর্ম (বেশিরভাগই রোমান ক্যাথলিক।
- মুদ্রা: মার্কিন ডলার।
তথ্যসূত্র - Britannica.com
৯৭) ২০২৩ সালে শান্তিতে নোবেল পুরস্কার লাভ করেন কে?
নার্গিস মোহাম্মদি
ফ্রেদেরিক পার্সি
জন হিউম
লিউ জিয়াওবো
নার্গিস মোহাম্মদি
ব্যাখ্যা:
নোবেল পুরস্কার (২০২৩):
- ২০২৩ সালে শান্তিতে নোবেল পুরস্কার পেলেন মানবাধিকারকর্মী নার্গিস মোহাম্মদি।
- ইরানে নারীদের নিপীড়নের বিরুদ্ধে লড়াই এবং সবার জন্য মানবাধিকার ও স্বাধীনতার প্রচারের জন্য তাকে শান্তিতে নোবেল দেয়া হয়।
- নার্গিস মোহাম্মদী ১৯৭২ সালের ২১ এপ্রিল ইরানের জাঞ্জানে জন্মগ্রহণ করেন।
- তিনি ইমাম খোমেনি ইন্টারন্যাশনাল ইউনিভার্সিটিতে পড়াশোনা করেন।
- পদার্থবিজ্ঞানে ডিগ্রি লাভ করার পর একজন পেশাদার প্রকৌশলী হিসেবে চাকরি জীবনে পদার্পণ করেন।
- তিনি শিক্ষাজীবন থেকেই সংবাদপত্রে নারীর অধিকার নিয়ে লেখালেখি করে আসছেন।
অন্যদিকে,
- ২০২৩ সালে চিকিৎসায় নোবেল পুরস্কার পেয়েছেন দুইজন। তারা হলেন 'ক্যাটালিন কারিকো' এবং 'ড্রু ওয়েইসম্যান'।
- ২০২৩ সালে পদার্থ বিজ্ঞানে নোবেল পেয়েছেন তিন বিজ্ঞানী। তারা হলেন মার্কিন বিজ্ঞানী 'পিয়েরে অ্যাগোস্টিনি', 'গাঙ্গেরির ফেরেন্স ক্রাউজ' এবং ফ্রান্সের 'অ্যান হুইলেয়ার'।
- ২০২৩ সালে রসায়ন বিদ্যায় নোবেল পুরস্কার পেয়েছেন ফরাসি রসায়নবিদ 'মুঙ্গি জি বাওয়েন্দি', মার্কিন গবেষক 'লুইস ই ব্রুস' ও 'অ্যালেক্সি আই একিমোভ'।
- অর্থনীতিতে ২০২৩ সালে নোবেল পুরস্কার পেয়েছেন যুক্তরাষ্ট্রের হার্ভার্ড বিশ্ববিদ্যালয়ের অধ্যাপক 'ক্লডিয়া গোল্ডিন'।
- ২০২৩ সালে সাহিত্যে নোবেল পুরস্কার পেলেন নরওয়ের লেখক 'জন ফসে'।
তথ্যসূত্র - নোবেল পুরস্কার অফিসিয়াল ওয়েবসাইট ও সময় নিউজ, ৬ অক্টোবর ২০২৩।
৯৮) বিশ্ব স্বাস্থ্য সংস্থা (WHO) বাংলাদেশকে কোন রোগ মুক্ত ঘোষণা করেছে?
পোলিও
ফাইলেরিয়া
কালাজ্বর
সবগুলো
সবগুলো
ব্যাখ্যা:
পোলিও:
- ‘পোলিওমাইটিলিজ’ এক ধরনের ভাইরাসজনিত সংক্রামক রোগ যা ‘পোলিও’ নামে অধিক পরিচিত।
- ১৮৪০ সালে জ্যাকব হেইনার প্রথম এই রোগ শনাক্ত করেন।
- ১৯০৯ সালে কার্ল ল্যান্ডস্টেইনার পোলিও ভাইরাস শনাক্ত করেন।
- ১৯৫২ সালে জোনাস এডওয়ার্ড সাল্ক পোলিওর টিকা উদ্ভাবন করেন।
- ১৯৫৭ সালে আলবার্ট সাবিন মুখে খাওয়ার পোলিও টিকা আবিষ্কার করেন।
- বাংলাদেশে ১৯৫৫ সালে পোলিও টিকাদান কর্মসূচি গ্রহণ করা হয় এবং ২০১৪ সালের ২৭ মার্চ বিশ্ব স্বাস্থ্য সংস্থা বাংলাদেশসহ দক্ষিণ-পূর্ব এশিয়ার ১১টি দেশকে পোলিও মুক্ত ঘোষণা করে।
কালাজ্বর:
- কালাজ্বর নির্মূলে বিশ্বে প্রথম স্বীকৃতি পায় - বাংলাদেশ।
- কালাজ্বর নির্মূলে বিশ্ব স্বাস্থ্য সংস্থার (ডব্লিউএইচও) পক্ষ থেকে বিশ্বের প্রথম কোনো দেশ হিসেবে স্বীকৃতি পেয়েছে বাংলাদেশ।
- ৩১ অক্টোবর ভারতের দিল্লীতে তিন দিনব্যাপী আয়োজিত ডব্লিউএইচওর ৭৬তম দক্ষিণ এশিয়ার আঞ্চলিক সম্মেলনে বাংলাদেশকে এ স্বীকৃতি দেওয়া হয়।
- এর আগে বাংলাদেশ ফাইলেরিয়া ও পোলিও নির্মূল করে সনদ পেয়েছিল। এবার কালাজ্বর নির্মূলে বিশ্বে প্রথম হয় বাংলাদেশ।
ফাইলেরিয়া:
- কিউলেক্স মশার কামড়ে ফাইলেরিয়া বা গোদরোগের পাশাপাশি চর্মরোগের ঝুঁকি রয়েছে।
- দেশে কিউলেক্স মশার প্রভাব দেখা দেয় অক্টোবর থেকে, অবশ্য শীতের তীব্রতা বাড়লে মশার কামড়ের মাত্রা কমে।
- কিউলেক্স মশার কামড়ে ফাইলেরিয়া বা গোদরোগ ও জাপানি এনসেফালাইটিস হয়।
- বাংলাদেশে লিম্ফ্যাটিক ফাইলেরিয়াসিস নির্মূলে ২০০১ সালে জাতীয় কর্মসূচি চালু হয়।
- মালদ্বীপ, শ্রীলংকা ও থাইল্যান্ডের পর বাংলাদেশ বিশ্ব স্বাস্থ্য সংস্থার দক্ষিণ-পূর্ব এশিয়া অঞ্চলের চতুর্থ দেশ হিসাবে লিম্ফ্যাটিক ফাইলেরিয়াসিস নির্মূল করেছে।
উৎস: বিশ্ব স্বাস্থ্য সংস্থার ওয়েবসাইট এবং দৈনিক প্রথম আলো ও যুগান্তর পত্রিকা।
৯৯) টেকসই উন্নয়ন লক্ষ্যমাত্রা (SDGS) কয়টি?
১৭
১৮
১৯
২১
১৭
ব্যাখ্যা:
টেকসই উন্নয়ন লক্ষ্যমাত্রা (SDG):
- SDG - এর পূর্ণরূপ Sustainable Development Goals বা টেকসই উন্নয়ন লক্ষ্য ।
- SDGS-এর মেয়াদ ২০১৬ থেকে ২০৩০ সাল।
- এতে মোট ১৭টি বৈশ্বিক লক্ষ্য (Goals) রয়েছে।
লক্ষ্যমাত্রাসমূহ হলো:
• দারিদ্র্য নির্মূল।
• ক্ষুধামুক্তি।
• সুস্বাস্থ।
• মানসম্মত শিক্ষা।
• লিঙ্গ সমতা।
• বিশুদ্ধ পানি ও স্যানিটেশন।
• সাশ্রয়ী ও নবায়নযোগ্য জ্বালানি।
• উপযুক্ত কাজ ও অর্থনৈতিক প্রবৃদ্ধি।
• শিল্প, উদ্ভাবন ও অবকাঠামো।
• বৈষম্য হ্রাস।
• টেকসই শহর ও জনগণ।
• পরিমিত ভোগ ও উৎপান।
• জলবায়ু বিষয়ে পদক্ষেপ।
• সামুদ্রিক বাস্তুসংস্থান।
• স্থলভাগের জীবন।
• শান্তি, ন্যায়বিচার ও শক্তিশালী প্রতিষ্ঠান।
• অভিষ্টের জন্যে অংশীদারিত্ব।
তথ্যসূত্র - SDG অফিসিয়াল ওয়েবসাইট।
১০০) বাংলাদেশ স্কয়ার কোথায় অবস্থিত?
সিয়েরালিওন
সুদান
লাইবেরিয়া
নাইজেরিয়া
লাইবেরিয়া
ব্যাখ্যা:
বাংলাদেশ স্কয়ার:
- বাংলাদেশ স্কয়ার লাইবেরিয়ায় অবস্থিত।
- ২০০৩ সাল থেকে জাতিসংঘ মিশনের জন্য বাংলাদেশি শান্তিরক্ষা বাহিনী লাইবেরিয়ায় কাজ করে চলেছে।
- ২০০৮ সালে বাংলাদেশি শান্তিরক্ষীরা 'বাংলাদেশ স্কয়ার' নামে একটি অবসর কাটানোর জন্য শিক্ষামূলক স্থাপনা নির্মাণ করেন।
- জিরাঙ্গার এ শহরে ভোকেশনাল প্রশিক্ষণের পাশাপাশি বাচ্চাদের খেলাধুলারও ব্যবস্থা রয়েছে।
তথ্যসূত্র - United Nations Office For the Coordination of Humanitarian Affairs.